Web Forum Files
JOMPUJOMPU Berdasarkan hasil penelitian dan pembahasan yang telah dilakukan, dapat disampaikan saran pada peneliti selanjutnya agar dapat mengganti tema atau tampilanBerdasarkan hasil penelitian dan pembahasan yang telah dilakukan, dapat disampaikan saran pada peneliti selanjutnya agar dapat mengganti tema atau tampilan
JOMPUJOMPU Namun, masih ada peserta didik yang malas membaca akibat kurangnya kesadaran, disiplin, dan kemauan dari diri sendiri. Upaya sekolah melalui Gerakan LiterasiNamun, masih ada peserta didik yang malas membaca akibat kurangnya kesadaran, disiplin, dan kemauan dari diri sendiri. Upaya sekolah melalui Gerakan Literasi
JOMPUJOMPU Kemudian di lanjutkan dengan tahap uji coba lapangan yang sesuai dengan model Tessmer yaitu, Uji validasi expert review yang dilakukan sebanyak 3 tahap.Kemudian di lanjutkan dengan tahap uji coba lapangan yang sesuai dengan model Tessmer yaitu, Uji validasi expert review yang dilakukan sebanyak 3 tahap.
JOMPUJOMPU Menghadapi kondisi seperti ini, setiap guru yang mengalami kesulitan dalam pemahaman modul ajar menjadi tanggung jawab sekolah untuk memberikan bimbinganMenghadapi kondisi seperti ini, setiap guru yang mengalami kesulitan dalam pemahaman modul ajar menjadi tanggung jawab sekolah untuk memberikan bimbingan
JOMPUJOMPU Dari penelitian diperoleh nilai rata-rata kemampuan berpikir kritis siswa pada pretest adalah 72 dan posttest adalah 88. Analisis data menggunakan SPSSDari penelitian diperoleh nilai rata-rata kemampuan berpikir kritis siswa pada pretest adalah 72 dan posttest adalah 88. Analisis data menggunakan SPSS
JOMPUJOMPU Hasil penelitian menunjukkan bahwa sufiks –s/es jamak menjadi sufiks paling dominan yang digunakan dalam pidato Elon Musk. Penelitian ini menemukan bahwaHasil penelitian menunjukkan bahwa sufiks –s/es jamak menjadi sufiks paling dominan yang digunakan dalam pidato Elon Musk. Penelitian ini menemukan bahwa
JOMPUJOMPU Hasilnya menunjukkan bahwa uji-t adalah (1,63), perhitungan korelasi antara skor rata-rata kelompok menghasilkan hasil (8,40). Berdasarkan hasil analisisHasilnya menunjukkan bahwa uji-t adalah (1,63), perhitungan korelasi antara skor rata-rata kelompok menghasilkan hasil (8,40). Berdasarkan hasil analisis
Useful /
UNSAMUNSAM This study also found that reaction knowledge was a moderate to strong predictor of chemistry achievement. Based on regression analysis, reaction knowledgeThis study also found that reaction knowledge was a moderate to strong predictor of chemistry achievement. Based on regression analysis, reaction knowledge
TIGA MUTIARATIGA MUTIARA Data dianalisis secara tematik untuk mengidentifikasi pola penerapan CRT dalam praktik pembelajaran sehari-hari. Hasil penelitian menunjukkan bahwa keterlibatanData dianalisis secara tematik untuk mengidentifikasi pola penerapan CRT dalam praktik pembelajaran sehari-hari. Hasil penelitian menunjukkan bahwa keterlibatan
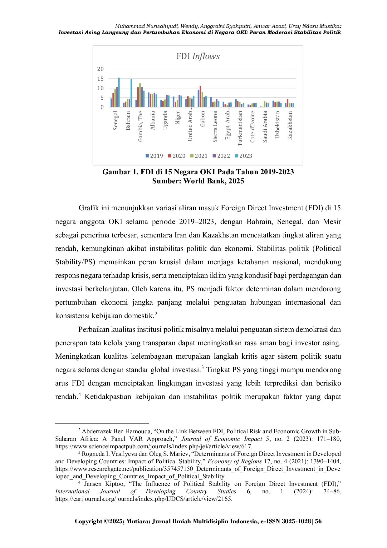
TIGA MUTIARATIGA MUTIARA Temuan ini menunjukkan bahwa di sejumlah negara OKI, meskipun stabilitas politik relatif rendah, FDI tetap mengalir sebagai respons terhadap peluang ekonomi,Temuan ini menunjukkan bahwa di sejumlah negara OKI, meskipun stabilitas politik relatif rendah, FDI tetap mengalir sebagai respons terhadap peluang ekonomi,
TIGA MUTIARATIGA MUTIARA Kesetaraan pragmatik menjadi kunci dalam mengatasi tantangan ini, dengan fokus pada koherensi makna dan interpretasi audiens.meskipun terdapat risiko kehilanganKesetaraan pragmatik menjadi kunci dalam mengatasi tantangan ini, dengan fokus pada koherensi makna dan interpretasi audiens.meskipun terdapat risiko kehilangan
Related /
UPMSUPMS 5%. Berdasarkan hasil penelitian, peningkatan hasil belajar IPA pada siswa kelas 4 SDN Sanggrahan 2 terbukti melalui penerapan strategi pembelajaran inkuiri.5%. Berdasarkan hasil penelitian, peningkatan hasil belajar IPA pada siswa kelas 4 SDN Sanggrahan 2 terbukti melalui penerapan strategi pembelajaran inkuiri.
STIEKIASTIEKIA Fokus artikel ini adalah bagaimana pemikiran-pemikiran Paulo Freire dapat bermanfaat untuk mengembangkan pendidikan dan keilmuan akuntansi sebagai alternatifFokus artikel ini adalah bagaimana pemikiran-pemikiran Paulo Freire dapat bermanfaat untuk mengembangkan pendidikan dan keilmuan akuntansi sebagai alternatif
STITUWJOMBANGSTITUWJOMBANG Penelitian ini menggunakan pendekatan kuantitatif dengan desain ex post facto. Sampel penelitian berjumlah 60 guru pembina ekstrakurikuler dan guru mataPenelitian ini menggunakan pendekatan kuantitatif dengan desain ex post facto. Sampel penelitian berjumlah 60 guru pembina ekstrakurikuler dan guru mata
UCYUCY Dengan demikian, pendidikan karakter melalui keteladanan guru sangat efektif dalam membangun sikap positif siswa. Dukungan tambahan berupa pelatihan, kebijakanDengan demikian, pendidikan karakter melalui keteladanan guru sangat efektif dalam membangun sikap positif siswa. Dukungan tambahan berupa pelatihan, kebijakan
Latest /
STIKESYARSIMATARAMSTIKESYARSIMATARAM Dadi Tjokrodipo Bandar Lampung. Kegiatan ini dilakukan untuk meningkatkan pengetahuan dan kemampuan perawat dalam melaksanakan discharge planning di ruanganDadi Tjokrodipo Bandar Lampung. Kegiatan ini dilakukan untuk meningkatkan pengetahuan dan kemampuan perawat dalam melaksanakan discharge planning di ruangan
UNDIKMAUNDIKMA Indikator evaluasi utama menunjukkan tingkat pencapaian di atas 85%, dengan kepuasan mitra secara keseluruhan melebihi 90%. Program ini tidak hanya memperkuatIndikator evaluasi utama menunjukkan tingkat pencapaian di atas 85%, dengan kepuasan mitra secara keseluruhan melebihi 90%. Program ini tidak hanya memperkuat
DIWANPUSTAKADIWANPUSTAKA Namun, perbedaan konteks pembelajaran antara studi di dalam negeri dan luar negeri dapat memengaruhi perumusan tujuan pembelajaran, motivasi, dan hasilNamun, perbedaan konteks pembelajaran antara studi di dalam negeri dan luar negeri dapat memengaruhi perumusan tujuan pembelajaran, motivasi, dan hasil
UNUKASEUNUKASE Hasil penelitian menunjukkan bahwa penggunaan Photomath dapat meningkatkan kemampuan pemecahan masalah matematika secara signifikan. Namun, aplikasi iniHasil penelitian menunjukkan bahwa penggunaan Photomath dapat meningkatkan kemampuan pemecahan masalah matematika secara signifikan. Namun, aplikasi ini