Jurnal Sains dan Teknologi Reaksi Files
PNLPNL This study aims to modify lithium-ion battery separators using a combination of polypropylene (PP), polyurethane (PU), and nano chitosan, and to evaluateThis study aims to modify lithium-ion battery separators using a combination of polypropylene (PP), polyurethane (PU), and nano chitosan, and to evaluate
PNLPNL Organoleptically, the 15% concentration was most preferred by the panelists. These findings indicate that basil extract has potential as an active ingredientOrganoleptically, the 15% concentration was most preferred by the panelists. These findings indicate that basil extract has potential as an active ingredient
PNLPNL Kualitas fisik sampo batang dievaluasi melalui uji keasaman (pH), kadar air, stabilitas busa, uji organoleptik (warna, aroma, tekstur), dan uji iritasi.Kualitas fisik sampo batang dievaluasi melalui uji keasaman (pH), kadar air, stabilitas busa, uji organoleptik (warna, aroma, tekstur), dan uji iritasi.
PNLPNL The highest biogas volume was achieved at a fermentation temperature of 35°C, demonstrating that this is the optimal temperature for increasing biogasThe highest biogas volume was achieved at a fermentation temperature of 35°C, demonstrating that this is the optimal temperature for increasing biogas
PNLPNL The vacuum hydrodistillation process of citronella was carried out for 3, 5, and 7 hours with each treatment using random and whole pieces of raw material.The vacuum hydrodistillation process of citronella was carried out for 3, 5, and 7 hours with each treatment using random and whole pieces of raw material.
PNLPNL Durasi pemanasan secara signifikan memengaruhi sifat fisik, mekanis, dan biodegradasi edible film kolang-kaling, dengan waktu 15 hingga 20 menit menunjukkanDurasi pemanasan secara signifikan memengaruhi sifat fisik, mekanis, dan biodegradasi edible film kolang-kaling, dengan waktu 15 hingga 20 menit menunjukkan
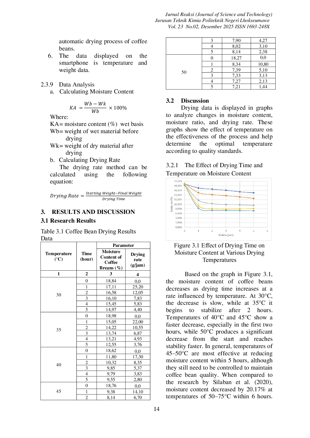
PNLPNL Hasil menunjukkan bahwa suhu 50°C menghasilkan kandungan air akhir sebesar 7,21%, yang memenuhi standar SNI 01-2907-2008 untuk penyimpanan biji kopi,Hasil menunjukkan bahwa suhu 50°C menghasilkan kandungan air akhir sebesar 7,21%, yang memenuhi standar SNI 01-2907-2008 untuk penyimpanan biji kopi,
PNLPNL Formula ini menghasilkan pH 6,47, busa stabil dengan kehilangan hanya 2,77%, kadar air rendah 1,87%, dan aktivitas antibakteri 100%. Evaluasi organoleptikFormula ini menghasilkan pH 6,47, busa stabil dengan kehilangan hanya 2,77%, kadar air rendah 1,87%, dan aktivitas antibakteri 100%. Evaluasi organoleptik
PNLPNL Karakterisasi membran meliputi densitas, porositas, fluks, uji morfologi menggunakan Mikroskop Elektron Pemindaian (SEM), serta pelepasan Asam Lemak BebasKarakterisasi membran meliputi densitas, porositas, fluks, uji morfologi menggunakan Mikroskop Elektron Pemindaian (SEM), serta pelepasan Asam Lemak Bebas
PNLPNL Variabel independen yang digunakan adalah jumlah siklus ekstraksi (A) dan ukuran partikel bahan (B), dengan empat parameter respons: persentase rendemenVariabel independen yang digunakan adalah jumlah siklus ekstraksi (A) dan ukuran partikel bahan (B), dengan empat parameter respons: persentase rendemen
Latest /
POLRAFPOLRAF Kajian ini menggunakan metodologi penelitian deskriptif yang dirancang untuk menggambarkan fakta secara sistematis dan akurat melalui deskripsi dan representasiKajian ini menggunakan metodologi penelitian deskriptif yang dirancang untuk menggambarkan fakta secara sistematis dan akurat melalui deskripsi dan representasi
NURSCIENCEINSTITUTENURSCIENCEINSTITUTE Sebanyak 102 responden yang bekerja pada bagian produksi plywood dikumpulkan menggunakan teknik purposive sampling dengan pendekatan kuantitatif deskriptif.Sebanyak 102 responden yang bekerja pada bagian produksi plywood dikumpulkan menggunakan teknik purposive sampling dengan pendekatan kuantitatif deskriptif.
STAIN KEPRISTAIN KEPRI Pengetahuan falsafah syariat atau maqashid syariah merupakan sebuah keharusan ditengah-tengah masyarakat saat ini. Para mujtahid muslim harus bisa menemukanPengetahuan falsafah syariat atau maqashid syariah merupakan sebuah keharusan ditengah-tengah masyarakat saat ini. Para mujtahid muslim harus bisa menemukan
STAISKUTIMSTAISKUTIM Hasil dari penelitian ini menunjukkan bahwa pada siswa sekolah dasar perkembangan moral masih pada tahap paling bawah yaitu prakonvensional, Teori LawrenceHasil dari penelitian ini menunjukkan bahwa pada siswa sekolah dasar perkembangan moral masih pada tahap paling bawah yaitu prakonvensional, Teori Lawrence