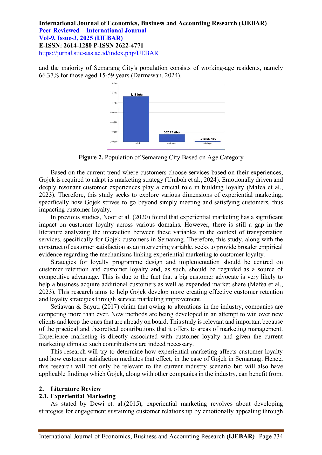
Index Page 40
RCF INDONESIARCF INDONESIA Penelitian ini bertujuan untuk menganalisis faktor-faktor yang mempengaruhi kepatuhan wajib pajak kendaraan bermotor di Kota Payakumbuh. Faktor-faktorPenelitian ini bertujuan untuk menganalisis faktor-faktor yang mempengaruhi kepatuhan wajib pajak kendaraan bermotor di Kota Payakumbuh. Faktor-faktor
RCF INDONESIARCF INDONESIA Pembiayaan ini dapat meningkatkan pendapatan, kapasitas produksi, dan daya saing usaha, yang pada gilirannya mendorong pertumbuhan ekonomi sektor perdagangan,Pembiayaan ini dapat meningkatkan pendapatan, kapasitas produksi, dan daya saing usaha, yang pada gilirannya mendorong pertumbuhan ekonomi sektor perdagangan,
RCF INDONESIARCF INDONESIA Perusahaan berhasil mengidentifikasi kebutuhan pasar secara spesifik melalui segmentasi yang komprehensif, meliputi aspek demografis, geografis, psikografis,Perusahaan berhasil mengidentifikasi kebutuhan pasar secara spesifik melalui segmentasi yang komprehensif, meliputi aspek demografis, geografis, psikografis,
RCF INDONESIARCF INDONESIA Berdasarkan dari hasil pengolahan data penelitian di atas maka dapat disimpulkan adanya pengaruh positif yang signifikan Online Customer Review dan KualitasBerdasarkan dari hasil pengolahan data penelitian di atas maka dapat disimpulkan adanya pengaruh positif yang signifikan Online Customer Review dan Kualitas
RCF INDONESIARCF INDONESIA Penelitian ini bertujuan untuk mengetahui seberapa besar. Metode yang digunakan adalah penelitian dokumentasi dengan data primer. Hasilnya menunjukkanPenelitian ini bertujuan untuk mengetahui seberapa besar. Metode yang digunakan adalah penelitian dokumentasi dengan data primer. Hasilnya menunjukkan
RCF INDONESIARCF INDONESIA This study aims to determine the effect of credit risk and operational risk on Financial Stability. Financial Stability ratios measured using FinancialThis study aims to determine the effect of credit risk and operational risk on Financial Stability. Financial Stability ratios measured using Financial
RCF INDONESIARCF INDONESIA Berdasarkan kajian, hasil penelitian dan pembahasan yang telah dipaparkan sebelumnya, maka dapat ditarik kesimpulan sebagai berikut. Terdapat pengaruhBerdasarkan kajian, hasil penelitian dan pembahasan yang telah dipaparkan sebelumnya, maka dapat ditarik kesimpulan sebagai berikut. Terdapat pengaruh
RCF INDONESIARCF INDONESIA Kepuasan kerja berpengaruh positif dan signifikan terhadap kinerja karyawan, dan memediasi pengaruh etos kerja terhadap kinerja, namun tidak memediasiKepuasan kerja berpengaruh positif dan signifikan terhadap kinerja karyawan, dan memediasi pengaruh etos kerja terhadap kinerja, namun tidak memediasi
RCF INDONESIARCF INDONESIA Terdapat pengaruh Stress Kerja terhadap Kinerja Karyawan pada PT. DIPO International Pahala Otomotif Padang Hal ini mengindikasikan bahwa ada pengaruhTerdapat pengaruh Stress Kerja terhadap Kinerja Karyawan pada PT. DIPO International Pahala Otomotif Padang Hal ini mengindikasikan bahwa ada pengaruh
RCF INDONESIARCF INDONESIA Dari pembahasan pada bab-bab sebelumnya, dapat disimpulkan bahwa terdapat pengaruh positif dan signifikan antara Pengawasan terhadap Kepuasan Kerja, TeamworkDari pembahasan pada bab-bab sebelumnya, dapat disimpulkan bahwa terdapat pengaruh positif dan signifikan antara Pengawasan terhadap Kepuasan Kerja, Teamwork
RCF INDONESIARCF INDONESIA Penelitian ini menyimpulkan bahwa pelatihan memiliki pengaruh positif dan signifikan terhadap beban kerja pegawai Puskesmas Tapan. Disiplin kerja tidakPenelitian ini menyimpulkan bahwa pelatihan memiliki pengaruh positif dan signifikan terhadap beban kerja pegawai Puskesmas Tapan. Disiplin kerja tidak
RCF INDONESIARCF INDONESIA Terdapat pengaruh signifikan fasilitas kerja terhadap kinerja pegawai. Komunikasi kerja tidak berpengaruh signifikan terhadap kinerja pegawai. KompetensiTerdapat pengaruh signifikan fasilitas kerja terhadap kinerja pegawai. Komunikasi kerja tidak berpengaruh signifikan terhadap kinerja pegawai. Kompetensi
Latest /
STAINUMADIUNSTAINUMADIUN Praktik ini dapat menimbulkan perilaku konsumtif dan ketergantungan utang yang berdampak negatif pada stabilitas keuangan individu. Oleh karena itu, perluPraktik ini dapat menimbulkan perilaku konsumtif dan ketergantungan utang yang berdampak negatif pada stabilitas keuangan individu. Oleh karena itu, perlu
YAZRIYAZRI Tujuannya adalah untuk menunjukkan potensi pendidikan Islam tradisional untuk berkontribusi dalam desain kurikulum yang berbasis konteks dan berorientasiTujuannya adalah untuk menunjukkan potensi pendidikan Islam tradisional untuk berkontribusi dalam desain kurikulum yang berbasis konteks dan berorientasi
SEMINAR IDSEMINAR ID Fitur utama dari sistem ini meliputi pengelolaan pelanggan, layanan, inventori, transaksi, dan pelacakan status pesanan secara real-time. Evaluasi terhadapFitur utama dari sistem ini meliputi pengelolaan pelanggan, layanan, inventori, transaksi, dan pelacakan status pesanan secara real-time. Evaluasi terhadap
UnbrahUnbrah Mengintegrasikan APD yang dapat digunakan kembali ke dalam strategi pengendalian infeksi rumah sakit dapat mendukung sistem perawatan kesehatan yang berkelanjutanMengintegrasikan APD yang dapat digunakan kembali ke dalam strategi pengendalian infeksi rumah sakit dapat mendukung sistem perawatan kesehatan yang berkelanjutan