Bilangan : Jurnal Ilmiah Matematika, Kebumian dan Angkasa Files
ARIMSIARIMSI Selain itu, pembiasaan refleksi melalui kegiatan memeriksa kembali proses dan hasil penyelesaian perlu dikembangkan secara konsisten agar siswa mampu menyadariSelain itu, pembiasaan refleksi melalui kegiatan memeriksa kembali proses dan hasil penyelesaian perlu dikembangkan secara konsisten agar siswa mampu menyadari
ARIMSIARIMSI Algoritma dengan memasukkan nilai-nilai yang dibutuhkan ke dalam rumus kemudian menghitungnya dan menyelesaikan soal dengan urutan langkah-langkah yangAlgoritma dengan memasukkan nilai-nilai yang dibutuhkan ke dalam rumus kemudian menghitungnya dan menyelesaikan soal dengan urutan langkah-langkah yang
ARIMSIARIMSI Penelitian ini dilakukan di kelas VIIIA SMP Katolik St. Johanis Laikit. Jenis penelitian ini menggunakan deskriptif kualitatif. Metode yang digunakan dalamPenelitian ini dilakukan di kelas VIIIA SMP Katolik St. Johanis Laikit. Jenis penelitian ini menggunakan deskriptif kualitatif. Metode yang digunakan dalam
ARIMSIARIMSI Oleh karena itu, pembelajaran harus disesuaikan dengan tahap operasi konkret anak dan menggunakan pendekatan interaktif, visual, serta kontekstual, termasukOleh karena itu, pembelajaran harus disesuaikan dengan tahap operasi konkret anak dan menggunakan pendekatan interaktif, visual, serta kontekstual, termasuk
ARIMSIARIMSI Hubungan antara transformasi Hartley dan Fourier telah dijelaskan, memungkinkan kerangka analitis terpadu. Dua versi prinsip ketidakpastian HeisenbergHubungan antara transformasi Hartley dan Fourier telah dijelaskan, memungkinkan kerangka analitis terpadu. Dua versi prinsip ketidakpastian Heisenberg
ARIMSIARIMSI Penerapan etnomatematika berbasis bahasa Madura secara signifikan meningkatkan hasil belajar matematika siswa kelas VII B pada materi Garis dan Sudut,Penerapan etnomatematika berbasis bahasa Madura secara signifikan meningkatkan hasil belajar matematika siswa kelas VII B pada materi Garis dan Sudut,
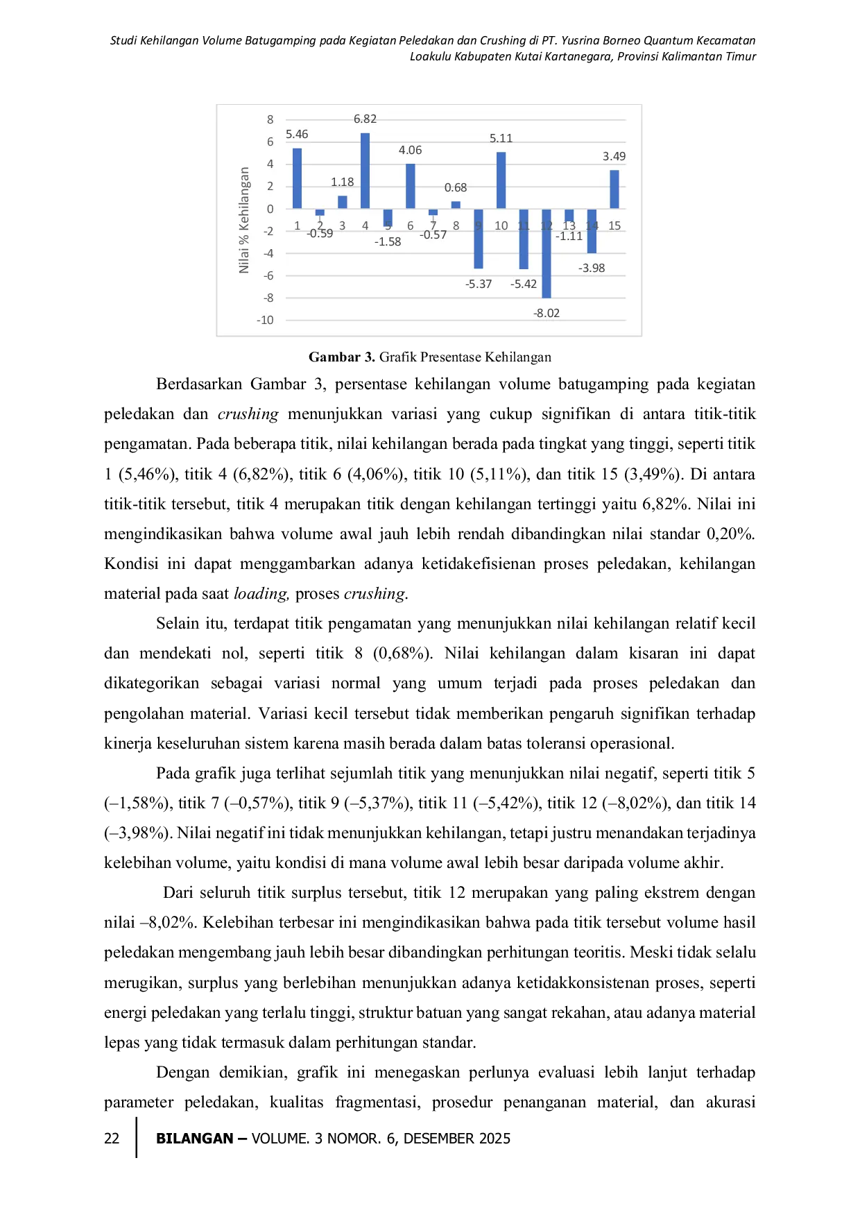
ARIMSIARIMSI Perbandingan kedua volume tersebut menunjukkan adanya kehilangan produksi yang disebabkan oleh faktor fragmentasi yang tidak optimal, kondisi batuan, efisiensiPerbandingan kedua volume tersebut menunjukkan adanya kehilangan produksi yang disebabkan oleh faktor fragmentasi yang tidak optimal, kondisi batuan, efisiensi
ARIMSIARIMSI Dari perhitungan yang dilakukan, volume kolam standar dengan dimensi 27 m x 11 m x 1,5 m mencapai 445,5 m³, yang menghasilkan rekomendasi jumlah tebarDari perhitungan yang dilakukan, volume kolam standar dengan dimensi 27 m x 11 m x 1,5 m mencapai 445,5 m³, yang menghasilkan rekomendasi jumlah tebar
ARIMSIARIMSI Makalah ini mengkaji penggunaan linear programming untuk meningkatkan kinerja sistem antrian yang terpengaruh oleh ketidakstabilan sumber daya, denganMakalah ini mengkaji penggunaan linear programming untuk meningkatkan kinerja sistem antrian yang terpengaruh oleh ketidakstabilan sumber daya, dengan
ARIMSIARIMSI Visualisasi 3D melalui GeoGebra mampu menggambarkan distribusi kepadatan penduduk dalam bentuk geometri yang interaktif, sehingga mempermudah pemahamanVisualisasi 3D melalui GeoGebra mampu menggambarkan distribusi kepadatan penduduk dalam bentuk geometri yang interaktif, sehingga mempermudah pemahaman
Latest /
UNIKSUNIKS Namun, mereka menghadapi tantangan seperti kurangnya daya tarik unik, rendahnya partisipasi masyarakat, serta kebutuhan akan sosialisasi pelestarian danNamun, mereka menghadapi tantangan seperti kurangnya daya tarik unik, rendahnya partisipasi masyarakat, serta kebutuhan akan sosialisasi pelestarian dan
UNIRAYAUNIRAYA Seiring dengan pesatnya perkembangan teknologi, beberapa tradisi dan budaya masyarakat desa mulai berubah termasuk di daerah-daerah di kepulauan Nias.Seiring dengan pesatnya perkembangan teknologi, beberapa tradisi dan budaya masyarakat desa mulai berubah termasuk di daerah-daerah di kepulauan Nias.
MALAHAYATIMALAHAYATI Penyebaran scabies di pesantren dipengaruhi oleh faktor perilaku seperti personal hygiene yang buruk, serta faktor lingkungan seperti sanitasi yang rendahPenyebaran scabies di pesantren dipengaruhi oleh faktor perilaku seperti personal hygiene yang buruk, serta faktor lingkungan seperti sanitasi yang rendah
HIPKIN JATENGHIPKIN JATENG The analysis reveals that users positive attitudes towards technology are a key factor driving their intention to use QR codes, which ultimately impactsThe analysis reveals that users positive attitudes towards technology are a key factor driving their intention to use QR codes, which ultimately impacts