Daerah Rawan Files
IPBIPB Studi ini dilakukan untuk menilai sejauh mana daerah rawan banjir di wilayah aliran sungai Bangko dan Masjid di Provinsi Riau. Studi ini bertujuan untukStudi ini dilakukan untuk menilai sejauh mana daerah rawan banjir di wilayah aliran sungai Bangko dan Masjid di Provinsi Riau. Studi ini bertujuan untuk
HTPHTP Penelitian ini untuk mengetahui faktror-faktor yang berhubungan dengan kejadian DBD di RSUD Rokan Hulu tahun 2011. Jenis penelitian Kuantitatif AnalitikPenelitian ini untuk mengetahui faktror-faktor yang berhubungan dengan kejadian DBD di RSUD Rokan Hulu tahun 2011. Jenis penelitian Kuantitatif Analitik
UMSUMS Berdasarkan metode tersebut, nilai debit puncak diperkirakan sebesar 302,3 m3/s, sedangkan kapasitas bendungan hanya 210 m3/s, menyisakan potensi banjirBerdasarkan metode tersebut, nilai debit puncak diperkirakan sebesar 302,3 m3/s, sedangkan kapasitas bendungan hanya 210 m3/s, menyisakan potensi banjir
IPBIPB 720 hektare lahan telah teridentifikasi cocok untuk padi lokal pada berbagai tingkat kerentanan banjir, sehingga membutuhkan strategi pengelolaan adaptif720 hektare lahan telah teridentifikasi cocok untuk padi lokal pada berbagai tingkat kerentanan banjir, sehingga membutuhkan strategi pengelolaan adaptif
SCADINDEPENDENTSCADINDEPENDENT Karakter masyarakat Indonesia yang kuat beragama dan menekankan ikatan primordial memudahkan penyebaran hoax SARA serta memperluas kepercayaan publik yangKarakter masyarakat Indonesia yang kuat beragama dan menekankan ikatan primordial memudahkan penyebaran hoax SARA serta memperluas kepercayaan publik yang
UIGMUIGM Komunitas Sinergi Tukang yang berdomisili di Kecamatan Menes dan sekitarnya, Kabupaten Pandeglang, Banten, yang berada di bawah arahan Mitra PT. TunasKomunitas Sinergi Tukang yang berdomisili di Kecamatan Menes dan sekitarnya, Kabupaten Pandeglang, Banten, yang berada di bawah arahan Mitra PT. Tunas
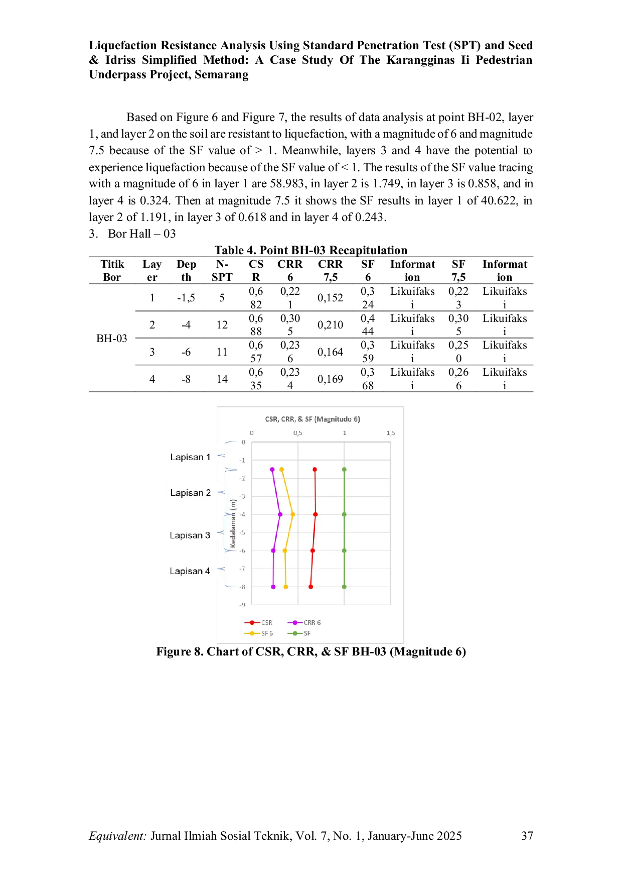
JURNALEQUIVALENTJURNALEQUIVALENT Berdasarkan hasil analisis resistensi tanah terhadap likuifaksi, dapat disimpulkan bahwa hubungan antara variasi magnitudo dan faktor keamanan sangat berpengaruh.Berdasarkan hasil analisis resistensi tanah terhadap likuifaksi, dapat disimpulkan bahwa hubungan antara variasi magnitudo dan faktor keamanan sangat berpengaruh.
UINUIN Metode yang digunakan melibatkan analisis spasial data bencana dan overlay berbagai lapisan geografis untuk identifikasi risiko. Hasil menunjukkan bahwaMetode yang digunakan melibatkan analisis spasial data bencana dan overlay berbagai lapisan geografis untuk identifikasi risiko. Hasil menunjukkan bahwa
UNSULTRAUNSULTRA Kegiatan pengabdian masyarakat ini berhasil memetakan area-area di Desa Guali yang paling rentan terhadap genangan banjir. Peta yang dihasilkan dapat menjadiKegiatan pengabdian masyarakat ini berhasil memetakan area-area di Desa Guali yang paling rentan terhadap genangan banjir. Peta yang dihasilkan dapat menjadi
KEMENSOSKEMENSOS Pengasuhan anak merupakan faktor penting untuk mendukung perkembangan dan kesejahteraan anak. Meskipun telah banyak penelitian yang dilakukan, pemahamanPengasuhan anak merupakan faktor penting untuk mendukung perkembangan dan kesejahteraan anak. Meskipun telah banyak penelitian yang dilakukan, pemahaman
KEMENSOSKEMENSOS Penelitian ini dilakukan dengan mewawancarai 60 responden di 4 blok manajemen pada bulan April-Mei 2023. Pengumpulan data dilakukan dengan metode purposivePenelitian ini dilakukan dengan mewawancarai 60 responden di 4 blok manajemen pada bulan April-Mei 2023. Pengumpulan data dilakukan dengan metode purposive
KEMENSOSKEMENSOS Penelitian ini berfokus untuk mengidentifikasi bentuk-bentuk kapital (ekonomi, sosial, embodied dan digital) yang dimiliki oleh penerima bantuan sosialPenelitian ini berfokus untuk mengidentifikasi bentuk-bentuk kapital (ekonomi, sosial, embodied dan digital) yang dimiliki oleh penerima bantuan sosial
Latest /
INDOPUBLISHINGINDOPUBLISHING Inisiatif ini tidak hanya memberikan manfaat praktis bagi guru BK dalam menjalankan tugas profesional mereka, tetapi juga merupakan kontribusi nyata dariInisiatif ini tidak hanya memberikan manfaat praktis bagi guru BK dalam menjalankan tugas profesional mereka, tetapi juga merupakan kontribusi nyata dari
UNCMUNCM Subjek penelitian adalah 21 siswa kelas 4. Tindakan yang diterapkan adalah pemberian media pembelajaran berupa papan kartu berwarna untuk membantu pemahamanSubjek penelitian adalah 21 siswa kelas 4. Tindakan yang diterapkan adalah pemberian media pembelajaran berupa papan kartu berwarna untuk membantu pemahaman
POLITEKNIKACEHPOLITEKNIKACEH Metode penelitian yang digunakan dalam studi ini adalah penelitian kuantitatif, jumlah sampel dalam penelitian ini sebanyak 100 responden. Hasil penelitianMetode penelitian yang digunakan dalam studi ini adalah penelitian kuantitatif, jumlah sampel dalam penelitian ini sebanyak 100 responden. Hasil penelitian
JURNALFKMUITJURNALFKMUIT Karyawan yang memiliki pengetahuan, mengikuti pelatihan, beban kerja normal, dan masa kerja lama lebih cenderung menerapkan K3 secara optimal. Hasil iniKaryawan yang memiliki pengetahuan, mengikuti pelatihan, beban kerja normal, dan masa kerja lama lebih cenderung menerapkan K3 secara optimal. Hasil ini