STIKESHBSTIKESHB
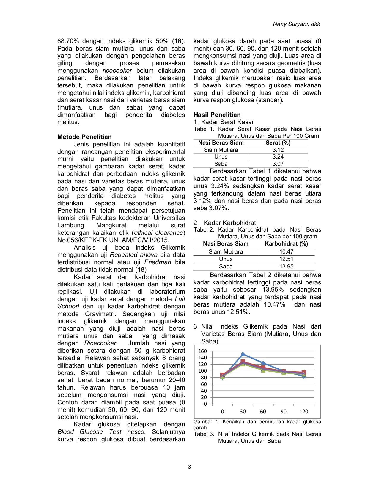
JURKESSIAJURKESSIABeras merupakan sumber utama karbohidrat dan serat pangan. Makanan yang mengandung karbohidrat rendah serta serat tinggi cenderung memiliki indeks glikemik (IG) rendah, sehingga konsumsi makanan ber‑IG rendah dapat menurunkan kadar glukosa darah pada penderita diabetes mellitus. Varietas beras Siam (Mutiara, Unus, dan Saba) banyak dibudidayakan oleh petani di Kalimantan Selatan. Penelitian ini bertujuan menentukan kadar serat, kadar karbohidrat, serta menganalisis perbedaan IG pada ketiga varietas beras tersebut untuk keperluan penderita diabetes mellitus. Metode yang digunakan berupa penelitian eksperimental; kadar serat diukur dengan metode Luft‑Schoorl, kadar karbohidrat dengan metode gravimetri, dan IG ditentukan dengan menguji kadar glukosa darah delapan responden sehat sebelum dan selama dua jam setelah mengonsumsi nasi (pengukuran tiap 30 menit). Hasil menunjukkan rata‑rata kadar serat sebesar 3,12 %, 3,24 %, dan 3,07 % untuk Mutiara, Unus, dan Saba; kadar karbohidrat masing‑masing 10,47 %, 12,51 %, dan 13,95 %; serta IG rata‑rata 54,4 % (Mutiara), 50,1 % (Unus), dan 53,4 % (Saba). Analisis repeated‑ANOVA menghasilkan p > 0,05 (0,792), yang mengindikasikan tidak terdapat perbedaan signifikan antar varietas. Kesimpulannya, ketiga varietas beras Siam memiliki IG rendah dan dapat dijadikan alternatif pangan bagi penderita diabetes mellitus.
Dalam 100 gram nasi yang diolah dari beras siam mutiara, unus dan saba memiliki kadar serat yang cukup tinggi yaitu rata‑rata sebesar 3,14 %.kadar karbohidrat rendah rata‑rata sebesar 12,3 % dan nilai Indeks glikemiknya rata‑rata sebesar 52,33 %.Sehingga nasi dari beras siam mutiara, unus dan saba dapat digunakan bahan makanan tepat jenis dalam menjalankan diet diabetes mellitus.
Penelitian lanjutan dapat menyelidiki respons glikemik dari beras siam (mutiara, unus, dan saba) pada pasien diabetes mellitus dibandingkan dengan respon pada subjek sehat, untuk mengetahui apakah perbedaan IG yang terdeteksi tetap konsisten pada populasi penderita diabetes; selanjutnya, studi dapat mengevaluasi pengaruh berbagai metode memasak (misalnya mengukus, memasak dengan rice‑cooker, dan pressure cooking) terhadap nilai IG serta retensi serat dan karbohidrat pada ketiga varietas beras, guna menentukan teknik memasak yang optimal untuk menurunkan beban glikemik; terakhir, intervensi diet jangka panjang yang menggunakan beras siam sebagai komponen utama dapat diuji untuk mengukur dampaknya terhadap HbA1c, profil lipid, dan parameter metabolik lainnya pada pasien diabetes tipe 2, sehingga dapat memberikan bukti klinis yang lebih kuat mengenai manfaat kesehatan berkelanjutan dari konsumsi beras ber‑IG rendah.
| File size | 132.08 KB |
| Pages | 6 |
| DMCA | Report |
Related /
STIKESHBSTIKESHB The result showed that treatment of Methanolic Swetenia mahagoni Seed Extracts with dose of 100, 250 and 400 mg/kgBW decreased blood glucose 55,47%; 81,01%The result showed that treatment of Methanolic Swetenia mahagoni Seed Extracts with dose of 100, 250 and 400 mg/kgBW decreased blood glucose 55,47%; 81,01%
STIKESHBSTIKESHB Status gizi merupakan salah satu faktor yang dapat memengaruhi prestasi belajar. Anak usia sekolah yang mengalami gizi buruk akan menyebabkan anak menjadiStatus gizi merupakan salah satu faktor yang dapat memengaruhi prestasi belajar. Anak usia sekolah yang mengalami gizi buruk akan menyebabkan anak menjadi
GLOBALHEALTHSCIENCEGROUPGLOBALHEALTHSCIENCEGROUP Program khitan massal menjadi pilihan efektif untuk menjangkau masyarakat dengan keterbatasan ekonomi. Namun, keberhasilan program ini tidak hanya bergantungProgram khitan massal menjadi pilihan efektif untuk menjangkau masyarakat dengan keterbatasan ekonomi. Namun, keberhasilan program ini tidak hanya bergantung
GLOBALHEALTHSCIENCEGROUPGLOBALHEALTHSCIENCEGROUP Tujuan dari kegiatan ini yaitu melakukan. Kegiatan pengabdian dilaksanakan di Kecamatan Selo terutama anak-anak berjumlah 16 orang. Kegiatan dilakukanTujuan dari kegiatan ini yaitu melakukan. Kegiatan pengabdian dilaksanakan di Kecamatan Selo terutama anak-anak berjumlah 16 orang. Kegiatan dilakukan
GLOBALHEALTHSCIENCEGROUPGLOBALHEALTHSCIENCEGROUP Kegiatan konseling dan pendampingan secara signifikan meningkatkan pengetahuan dan keterampilan menyusui pada ibu pasca sectio caesaria. Intervensi iniKegiatan konseling dan pendampingan secara signifikan meningkatkan pengetahuan dan keterampilan menyusui pada ibu pasca sectio caesaria. Intervensi ini
GLOBALHEALTHSCIENCEGROUPGLOBALHEALTHSCIENCEGROUP Metode edukasi yang digunakan bersifat partisipatif dan interaktif, termasuk kuliah interaktif, diskusi kelompok, sesi tanya jawab, simulasi cuci tanganMetode edukasi yang digunakan bersifat partisipatif dan interaktif, termasuk kuliah interaktif, diskusi kelompok, sesi tanya jawab, simulasi cuci tangan
GLOBALHEALTHSCIENCEGROUPGLOBALHEALTHSCIENCEGROUP Pandemi COVID-19 yang melanda dunia sejak akhir tahun 2019 telah berdampak besar, tidak hanya di bidang kesehatan, tetapi juga di berbagai sektor ekonomi,Pandemi COVID-19 yang melanda dunia sejak akhir tahun 2019 telah berdampak besar, tidak hanya di bidang kesehatan, tetapi juga di berbagai sektor ekonomi,
GLOBALHEALTHSCIENCEGROUPGLOBALHEALTHSCIENCEGROUP Kegiatan pengabdian ini bertujuan untuk meningkatkan kualitas hidup masyarakat di pedesaan melalui pemenuhan dasar-dasar kesehatan berdasarkan hasil kajianKegiatan pengabdian ini bertujuan untuk meningkatkan kualitas hidup masyarakat di pedesaan melalui pemenuhan dasar-dasar kesehatan berdasarkan hasil kajian
Useful /
WIRARAJAWIRARAJA Desain penelitian yang digunakan adalah studi kasus deskriptif dengan melibatkan 30 orang lansia penderita demensia yang tinggal di panti tersebut. DataDesain penelitian yang digunakan adalah studi kasus deskriptif dengan melibatkan 30 orang lansia penderita demensia yang tinggal di panti tersebut. Data
WIRARAJAWIRARAJA 05 yang mengindikasikan bahwa hubungan antara variabel-variabel ini signifikan. Dengan demikian, dapat disimpulkan bahwa terdapat hubungan yang signifikan05 yang mengindikasikan bahwa hubungan antara variabel-variabel ini signifikan. Dengan demikian, dapat disimpulkan bahwa terdapat hubungan yang signifikan
ITSKHATULISTIWAITSKHATULISTIWA Sekolah-sekolah Islam memiliki potensi besar untuk berkontribusi dalam pengembangan sumber daya manusia yang memiliki keterampilan kewirausahaan, sehinggaSekolah-sekolah Islam memiliki potensi besar untuk berkontribusi dalam pengembangan sumber daya manusia yang memiliki keterampilan kewirausahaan, sehingga
ITSKHATULISTIWAITSKHATULISTIWA Menggunakan program SmartPLS versi 4. 0, penelitian ini menguji validitas, reliabilitas, dan hubungan kausal antara variabel-variabel tersebut. Hasil menunjukkanMenggunakan program SmartPLS versi 4. 0, penelitian ini menguji validitas, reliabilitas, dan hubungan kausal antara variabel-variabel tersebut. Hasil menunjukkan