Journal of Technology and Policy in Energy and Electric Power Files
PUSLITBANGPLNPUSLITBANGPLN In this study, a comparative experimental method was carried out, namely solar panels placed in the sun with different time conditions, namely in the morning,In this study, a comparative experimental method was carried out, namely solar panels placed in the sun with different time conditions, namely in the morning,
PUSLITBANGPLNPUSLITBANGPLN Efisiensi ketel menjadi lebih rendah dalam kehadiran amonia. Berdasarkan hasil simulasi pembakaran, suhu pembakaran dapat lebih tinggi karena tambahanEfisiensi ketel menjadi lebih rendah dalam kehadiran amonia. Berdasarkan hasil simulasi pembakaran, suhu pembakaran dapat lebih tinggi karena tambahan
PUSLITBANGPLNPUSLITBANGPLN Seperti teknologi energi terbarukan lainnya, tantangan yang dihadapi pembangkit listrik tenaga surya atap adalah fluktuasi matahari, dalam hal ini radiasinya,Seperti teknologi energi terbarukan lainnya, tantangan yang dihadapi pembangkit listrik tenaga surya atap adalah fluktuasi matahari, dalam hal ini radiasinya,
PUSLITBANGPLNPUSLITBANGPLN Integrasi PLTS terapung (FPV) dan pembangkit listrik tenaga air akumulasi (PHS) merupakan solusi yang mampu meningkatkan stabilitas pasokan listrik. PembangkitIntegrasi PLTS terapung (FPV) dan pembangkit listrik tenaga air akumulasi (PHS) merupakan solusi yang mampu meningkatkan stabilitas pasokan listrik. Pembangkit
PUSLITBANGPLNPUSLITBANGPLN Konfigurasi PV-Wind dengan baterai NCA menghasilkan biaya energi terendah (1,291 USD/kWh) dan proporsi energi terbarukan sebesar 94,8%, menjadikannya solusiKonfigurasi PV-Wind dengan baterai NCA menghasilkan biaya energi terendah (1,291 USD/kWh) dan proporsi energi terbarukan sebesar 94,8%, menjadikannya solusi
PUSLITBANGPLNPUSLITBANGPLN Berdasarkan analisis efek peningkatan suhu intake air PLTU Timor 1 (2x50 MW) dari 30℃ ke 33℃, terjadi peningkatan Net Plant Heat Rate (NPHR) dari 2,611Berdasarkan analisis efek peningkatan suhu intake air PLTU Timor 1 (2x50 MW) dari 30℃ ke 33℃, terjadi peningkatan Net Plant Heat Rate (NPHR) dari 2,611
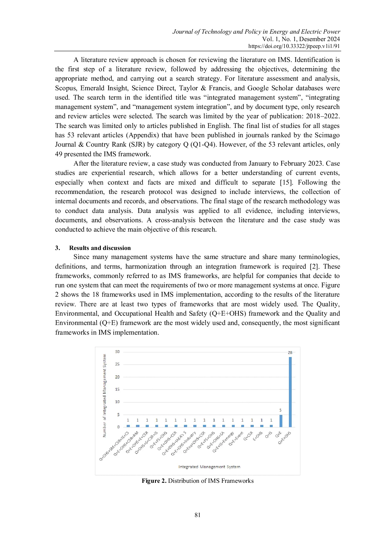
PUSLITBANGPLNPUSLITBANGPLN Implementasi sistem manajemen terpadu (IMS) efektif untuk memenuhi kebutuhan dan harapan pihak berkepentingan serta mengelola aktivitas dan proses terkaitImplementasi sistem manajemen terpadu (IMS) efektif untuk memenuhi kebutuhan dan harapan pihak berkepentingan serta mengelola aktivitas dan proses terkait
PUSLITBANGPLNPUSLITBANGPLN Hasil tersebut membuka peluang untuk memperluas pengembangan FPV di wilayah lain Indonesia, namun diperlukan penelitian lanjutan mengenai faktor biaya,Hasil tersebut membuka peluang untuk memperluas pengembangan FPV di wilayah lain Indonesia, namun diperlukan penelitian lanjutan mengenai faktor biaya,
PUSLITBANGPLNPUSLITBANGPLN Untuk mencapai NZE, berdasarkan optimasi HOMER, LCOE terendah untuk portofolio energi bersih sepenuhnya dicapai dengan kombinasi panel surya dan bateraiUntuk mencapai NZE, berdasarkan optimasi HOMER, LCOE terendah untuk portofolio energi bersih sepenuhnya dicapai dengan kombinasi panel surya dan baterai
PUSLITBANGPLNPUSLITBANGPLN Penerapan skema Overfrequency Generation Shedding (OFGS) pada Pembangkit Listrik Tenaga Batu Bara Amurang berhasil menurunkan frekuensi yang semula 51,49 HzPenerapan skema Overfrequency Generation Shedding (OFGS) pada Pembangkit Listrik Tenaga Batu Bara Amurang berhasil menurunkan frekuensi yang semula 51,49 Hz
PUSLITBANGPLNPUSLITBANGPLN Therefore, proactive measures such as load regulation and voltage control are essential to mitigate potential disruptions. Contingency analysis servesTherefore, proactive measures such as load regulation and voltage control are essential to mitigate potential disruptions. Contingency analysis serves
PUSLITBANGPLNPUSLITBANGPLN The OhmStick Plus, a tool for measuring current and resistance, was used to identify the problem and justify normal conditions after repair. Using theThe OhmStick Plus, a tool for measuring current and resistance, was used to identify the problem and justify normal conditions after repair. Using the
Latest /
KWIKKIANGIEKWIKKIANGIE Kepuasan pelanggan berperan sebagai mediator antara variabel-variabel tersebut dan loyalitas pelanggan. Penelitian lebih lanjut dapat menggunakan variabelKepuasan pelanggan berperan sebagai mediator antara variabel-variabel tersebut dan loyalitas pelanggan. Penelitian lebih lanjut dapat menggunakan variabel
UNMUNM This study discusses the Effect of Product Quality on Customer Loyalty. In this study, researchers tried to determine whether Product Quality has an influenceThis study discusses the Effect of Product Quality on Customer Loyalty. In this study, researchers tried to determine whether Product Quality has an influence
GOACADEMICAGOACADEMICA Hal ini dapat diwujudkan dengan menetapkan prosedur dan melaksanakan operasi dengan checklist dan prosedur operasi standar. Ada banyak prosedur dan checklistHal ini dapat diwujudkan dengan menetapkan prosedur dan melaksanakan operasi dengan checklist dan prosedur operasi standar. Ada banyak prosedur dan checklist
JURNALFKIPUNTADJURNALFKIPUNTAD Berdasarkan hasil penelitian dan analisis data penelitian, nilai hasil belajar siswa pada post-test kelas eksperimen I adalah 65,7 dan untuk kelas eksperimenBerdasarkan hasil penelitian dan analisis data penelitian, nilai hasil belajar siswa pada post-test kelas eksperimen I adalah 65,7 dan untuk kelas eksperimen