Efek Jangka Files
TRANSPUBLIKATRANSPUBLIKA Hasil penelitian menunjukkan kepemimpinan secara parsial tidak berpengaruh positif dan tidak signifikan terhadap kinerja pegawai; iklim organisasi secaraHasil penelitian menunjukkan kepemimpinan secara parsial tidak berpengaruh positif dan tidak signifikan terhadap kinerja pegawai; iklim organisasi secara
UNIPASUNIPAS Diperoleh kesimpulan bahwa hasil terbaik pertumbuhan bibit tanaman kopi Arabika untuk parameter tinggi bibit diperoleh pada dosis 200 ml dan parameterDiperoleh kesimpulan bahwa hasil terbaik pertumbuhan bibit tanaman kopi Arabika untuk parameter tinggi bibit diperoleh pada dosis 200 ml dan parameter
PELITA BANGSAPELITA BANGSA Banyak wirausaha muncul seiring dengan timbulnya pandemi Covid-19 untuk bertahan dari krisis ekonomi. Penelitian ini bertujuan untuk menentukan sejauhBanyak wirausaha muncul seiring dengan timbulnya pandemi Covid-19 untuk bertahan dari krisis ekonomi. Penelitian ini bertujuan untuk menentukan sejauh
KETERAPIAN FISIKKETERAPIAN FISIK Penelitian ini menganalisis efek myofascial release terhadap nyeri dan fungsional leher pada otot upper trapezius. Metode: Review sistematis dengan kerangkaPenelitian ini menganalisis efek myofascial release terhadap nyeri dan fungsional leher pada otot upper trapezius. Metode: Review sistematis dengan kerangka
UNTANUNTAN Penggunaan media video pada materi strategi dakwah Rasulullah periode Madinah meningkatkan hasil belajar siswa kelas XF SMK SMTI Pontianak, terbukti dariPenggunaan media video pada materi strategi dakwah Rasulullah periode Madinah meningkatkan hasil belajar siswa kelas XF SMK SMTI Pontianak, terbukti dari
STIFERASTIFERA Ikan Tongkol adalah bahan pangan yang mengandung gizi tinggi namun mudah mengalami proses pembusukan, sebagai usaha mencegah pembusukan, nelayan menggunakanIkan Tongkol adalah bahan pangan yang mengandung gizi tinggi namun mudah mengalami proses pembusukan, sebagai usaha mencegah pembusukan, nelayan menggunakan
STIFERASTIFERA Tanaman tersebut dapat digunakan sebagai bahan pelembap kulit dan bersifat sebagai antioksidan. Variasi kombinasi konsentrasi formulasi sediaan shootingTanaman tersebut dapat digunakan sebagai bahan pelembap kulit dan bersifat sebagai antioksidan. Variasi kombinasi konsentrasi formulasi sediaan shooting
JBASICJBASIC Kemampuan berpikir kreatif siswa kelas IV SD Gugus II Kecamatan Lubuk Basung masih rendah. Hal ini terjadi karena siswa belum terbiasa menyelesaikan permasalahanKemampuan berpikir kreatif siswa kelas IV SD Gugus II Kecamatan Lubuk Basung masih rendah. Hal ini terjadi karena siswa belum terbiasa menyelesaikan permasalahan
JURNALEMPATHYJURNALEMPATHY Stres dapat memicu munculnya hipertensi melalui aktivasi sistem saraf simpatik yang menyebabkan peningkatan tekanan darah secara tiba‑tiba. Pasien hipertensiStres dapat memicu munculnya hipertensi melalui aktivasi sistem saraf simpatik yang menyebabkan peningkatan tekanan darah secara tiba‑tiba. Pasien hipertensi
CARAKACARAKA Kasus ini membuat Kemenpora melalui humas harus membuat strategi yang tepat agar citra lembaga ini tidak semakin memburuk atau bahkan bisa diperbaiki.Kasus ini membuat Kemenpora melalui humas harus membuat strategi yang tepat agar citra lembaga ini tidak semakin memburuk atau bahkan bisa diperbaiki.
STIEMSTIEM Temuan ini memperkuat teori stakeholder yang menyatakan bahwa perusahaan harus memberikan manfaat bagi para pemangku kepentingannya. Selanjutnya, peranTemuan ini memperkuat teori stakeholder yang menyatakan bahwa perusahaan harus memberikan manfaat bagi para pemangku kepentingannya. Selanjutnya, peran
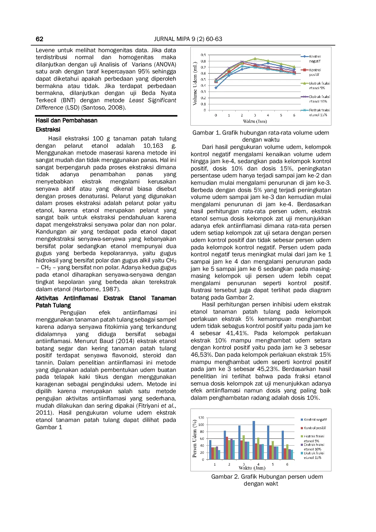
UNSRATUNSRAT Ekstrak etanol tanaman patah tulang dibuat dengan teknik maserasi selama 24 jam menggunakan pelarut etanol 80%. Pengujian dilakukan dengan metode induksiEkstrak etanol tanaman patah tulang dibuat dengan teknik maserasi selama 24 jam menggunakan pelarut etanol 80%. Pengujian dilakukan dengan metode induksi
Latest /
STIETRIBHAKTISTIETRIBHAKTI Berdasarkan penelitian ini dapat disimpulkan bahwa secara parsial beban kerja berpengaruh positif dan signifikan terhadap kinerja karyawan, sementara stresBerdasarkan penelitian ini dapat disimpulkan bahwa secara parsial beban kerja berpengaruh positif dan signifikan terhadap kinerja karyawan, sementara stres
STIKESCOLUMBIASIAMDNSTIKESCOLUMBIASIAMDN Penelitian ini merupakan penelitian deskriptif. Populasi penelitian ini adalah 98 rumah tangga yang ada di Kota Medan, sampel penelitian ini terdiri dariPenelitian ini merupakan penelitian deskriptif. Populasi penelitian ini adalah 98 rumah tangga yang ada di Kota Medan, sampel penelitian ini terdiri dari
STT KADESISTT KADESI This condition has resulted in low student engagement and a lack of reflective understanding of the values of faith. This study aims to analyze technology-basedThis condition has resulted in low student engagement and a lack of reflective understanding of the values of faith. This study aims to analyze technology-based
JURNALASPIKOMJURNALASPIKOM Dengan menerapkan Teori Dialektika Relasional (RDT), penelitian ini menekankan bahwa kontradiksi dalam hubungan antara korporasi dan komunitas lokal adalahDengan menerapkan Teori Dialektika Relasional (RDT), penelitian ini menekankan bahwa kontradiksi dalam hubungan antara korporasi dan komunitas lokal adalah