STIKESPAMENANGSTIKESPAMENANG
Jurnal Ilmiah PamenangJurnal Ilmiah PamenangKecerdasan intelektual (IQ) merupakan salah satu aspek penting dalam tumbuh kembang anak karena berkaitan erat dengan kemampuan berpikir, memecahkan masalah, dan belajar. Salah satu indikator yang sering digunakan untuk menilai perkembangan otak secara tidak langsung adalah lingkar kepala, karena mencerminkan volume intrakranial. Data dari Lynn menunjukkan bahwa rata-rata IQ anak-anak di Asia Tenggara, termasuk Indonesia, tergolong rendah. Hal ini menjadi perhatian khusus dalam upaya peningkatan kualitas sumber daya manusia sejak usia dini. Penelitian ini bertujuan untuk mengetahui hubungan antara lingkar kepala dengan tingkat kecerdasan intelektual (IQ) pada anak usia 6–8 tahun.
Berdasarkan hasil penelitian dan analisis statistik, terdapat hubungan yang signifikan antara ukuran lingkar kepala dan tingkat kecerdasan intelektual anak usia 6–8 tahun dengan hasil analisis menunjukkan nilai p = 0,000.Temuan ini menggaris bawahi pentingnya pemantauan pertumbuhan fisik dan mental anak sejak dini.Upaya promotif dan preventif melalui keterlibatan orang tua, sekolah, dan layanan kesehatan sangat krusial untuk mendeteksi dini dan mengoptimalkan tumbuh kembang anak secara menyeluruh.
Untuk penelitian lanjutan, dapat dilakukan studi longitudinal yang lebih komprehensif untuk mengidentifikasi faktor-faktor spesifik yang mempengaruhi hubungan antara lingkar kepala dan kecerdasan intelektual. Selain itu, penelitian dapat fokus pada intervensi dini dan edukasi orang tua serta guru dalam memantau perkembangan anak secara holistik, serta mengkaji efektivitas intervensi tersebut dalam meningkatkan kecerdasan intelektual anak.
| File size | 365.94 KB |
| Pages | 8 |
| DMCA | Report |
Related /
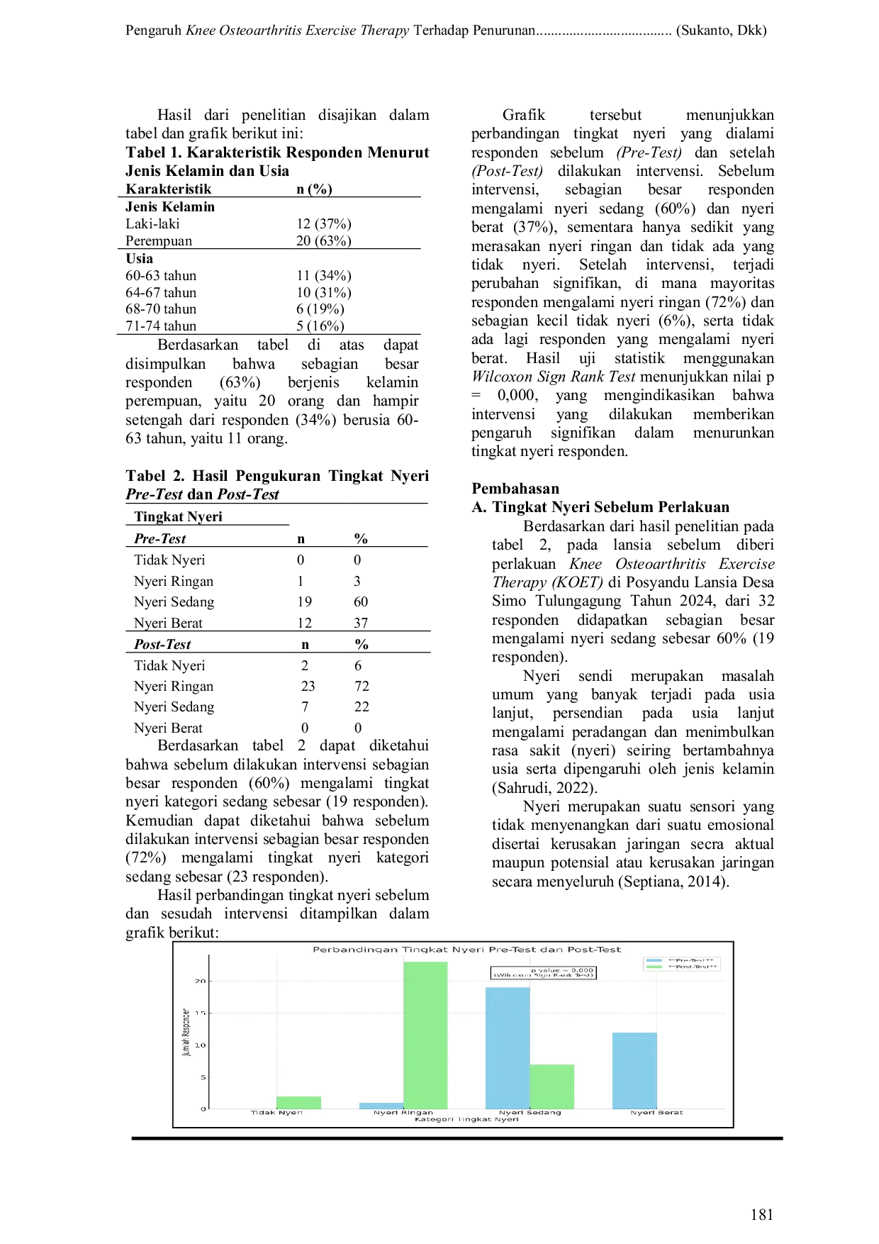
STIKESPAMENANGSTIKESPAMENANG Osteoarthritis lutut adalah penyakit degeneratif yang menyebabkan keterbatasan gerak dan fungsi. Penelitian ini bertujuan mengetahui efek Knee OsteoarthritisOsteoarthritis lutut adalah penyakit degeneratif yang menyebabkan keterbatasan gerak dan fungsi. Penelitian ini bertujuan mengetahui efek Knee Osteoarthritis
STIKESPAMENANGSTIKESPAMENANG Secara deskriptif terlihat adanya penurunan intensitas nyeri sebelum dan setelah terapi SEFT. Hasil uji statistik menunjukkan p-value 0,00 < α (0,05),Secara deskriptif terlihat adanya penurunan intensitas nyeri sebelum dan setelah terapi SEFT. Hasil uji statistik menunjukkan p-value 0,00 < α (0,05),
STIKESPAMENANGSTIKESPAMENANG Asuhan kebidanan berkelanjutan dengan pendekatan psikososial terbukti efektif dalam mendukung pemulihan fisik dan emosional ibu pascakehilangan. PendekatanAsuhan kebidanan berkelanjutan dengan pendekatan psikososial terbukti efektif dalam mendukung pemulihan fisik dan emosional ibu pascakehilangan. Pendekatan
STIKESPAMENANGSTIKESPAMENANG Penelitian ini merupakan penelitian kuantitatif dengan pendekatan Research and Development (R&D). Pemilihan metode ini didasarkan pada tujuan penelitianPenelitian ini merupakan penelitian kuantitatif dengan pendekatan Research and Development (R&D). Pemilihan metode ini didasarkan pada tujuan penelitian
STIKESPAMENANGSTIKESPAMENANG Asam urat pada lansia terjadi ketika ada gangguan metabolisme purin pada tubuh. Oleh karena itu, penting untuk memberikan pendidikan kesehatan kepada lansiaAsam urat pada lansia terjadi ketika ada gangguan metabolisme purin pada tubuh. Oleh karena itu, penting untuk memberikan pendidikan kesehatan kepada lansia
STIKESPAMENANGSTIKESPAMENANG Terdapat hubungan antara umur (ρ-value = 0,000 < 0,05), tingkat pendidikan (ρ-value = 0,001 < 0,05) dengan kejadian IMS pada ibu hamil di Puskesmas EllyTerdapat hubungan antara umur (ρ-value = 0,000 < 0,05), tingkat pendidikan (ρ-value = 0,001 < 0,05) dengan kejadian IMS pada ibu hamil di Puskesmas Elly
STIKESPAMENANGSTIKESPAMENANG Tujuan penelitian ini adalah untuk mengetahui hubungan supervisi tim PPI dengan kepatuhan perawat menggunakan APD handscoon. Jenis penelitian analitikTujuan penelitian ini adalah untuk mengetahui hubungan supervisi tim PPI dengan kepatuhan perawat menggunakan APD handscoon. Jenis penelitian analitik
STIKESPAMENANGSTIKESPAMENANG Dari hasil pemeriksaan laboratorium menunjukkan bahwa dari 15 sampel yang diuji boraks menggunakan test kit boraks menunjukkan bahwa semua sampel makananDari hasil pemeriksaan laboratorium menunjukkan bahwa dari 15 sampel yang diuji boraks menggunakan test kit boraks menunjukkan bahwa semua sampel makanan
Useful /
STIKESPAMENANGSTIKESPAMENANG Tujuan studi kasus ini untuk mendiskripsikan asuhan keperawatan gawat darurat pada pasien CVA Bleeding dengan masalah keperawatan penurunan kapasitas adaptifTujuan studi kasus ini untuk mendiskripsikan asuhan keperawatan gawat darurat pada pasien CVA Bleeding dengan masalah keperawatan penurunan kapasitas adaptif
STIKESPAMENANGSTIKESPAMENANG Sedangkan untuk uji kesukaran dan daya pembeda soal mayoritas soal berada pada tingkat kesukaran sukar 28% (50 soal) dan memiliki daya pembeda yang burukSedangkan untuk uji kesukaran dan daya pembeda soal mayoritas soal berada pada tingkat kesukaran sukar 28% (50 soal) dan memiliki daya pembeda yang buruk
STIKESPAMENANGSTIKESPAMENANG Hasil penelitian menunjukkan bahwa 47 responden (57,31%) memberikan ASI langsung, 64 orang (78,04%) mendapatkan bantuan ASI, dan 43 orang (52,43%) tidakHasil penelitian menunjukkan bahwa 47 responden (57,31%) memberikan ASI langsung, 64 orang (78,04%) mendapatkan bantuan ASI, dan 43 orang (52,43%) tidak
STIKESPAMENANGSTIKESPAMENANG Latar belakang: Anemia pada ibu hamil menjadi masalah kesehatan global karena telah mempengaruhi setengah dari semua wanita hamil di seluruh dunia. KekuranganLatar belakang: Anemia pada ibu hamil menjadi masalah kesehatan global karena telah mempengaruhi setengah dari semua wanita hamil di seluruh dunia. Kekurangan