ITENASITENAS
Rekayasa Hijau : Jurnal Teknologi Ramah LingkunganRekayasa Hijau : Jurnal Teknologi Ramah LingkunganCyberbullying dalam bahasa Sunda semakin marak di media sosial, dengan kasus seperti penghinaan fisik, body shaming, dan ancaman yang dapat berdampak negatif pada korban. Namun, deteksi otomatis masih menghadapi tantangan, terutama dalam keterbatasan dataset dan efektivitas metode pemrosesan bahasa alami. Penelitian ini bertujuan untuk mengembangkan sistem deteksi cyberbullying bahasa Sunda menggunakan gabungan model stemming dan hybrid learning. Peneliti menerapkan beberapa model machine learning yaitu random forest dan Support Vector Machine (SVM) serta model deep learning yaitu convolutional neural network-bidirectional long short-term memory (CNN-BiLSTM), CNN, dan BiLSTM. Peneliti melakukan eksperimen untuk mengevaluasi kinerja masing-masing model dengan mengukur akurasi dan F1-score. Berdasarkan hasil penelitian, model hybrid learning memperoleh kinerja terbaik dengan akurasi sebesar 97,3% dan F1-score sebesar 97%. Selain itu, waktu pelatihan pada CNN-BiLSTM lebih cepat dibandingkan dengan model lainnya yaitu sekitar 30 detik per epoch.
Penelitian ini berhasil mengembangkan sistem deteksi cyberbullying dalam bahasa Sunda menggunakan stemming dan model hybrid learning.Model CNN-BiLSTM menunjukkan kinerja terbaik dengan akurasi 97,3% dan F1-score 97%.Untuk mengatasi overfitting dan meningkatkan kinerja, disarankan penerapan regularisasi, penambahan data augmentation, hyperparameter tuning, early stopping, serta eksplorasi model Bi-GRU yang digabungkan dengan CNN.
Pertama, perlu dikembangkan penelitian untuk mengidentifikasi efektivitas model hybrid lain seperti CNN-BiGRU dalam mendeteksi cyberbullying bahasa Sunda, mengingat potensi BiGRU yang lebih efisien dibanding BiLSTM dalam memproses urutan teks. Kedua, penting untuk mengevaluasi penggunaan teknik augmentasi data berbasis morfologi Sunda, seperti generasi sinonim lokal atau transformasi afiks, agar dapat meningkatkan keragaman dataset dan mengurangi overfitting pada model pembelajaran mesin. Ketiga, diperlukan studi lebih lanjut mengenai kombinasi antara stemming berbasis aturan dan pendekatan embedding kontekstual (seperti m-BERT) untuk memahami sejauh mana representasi kata yang kaya konteks dapat meningkatkan akurasi deteksi cyberbullying pada bahasa daerah yang kurang sumbernya. Penelitian-penelitian ini dapat memperkuat sistem deteksi otomatis yang lebih adaptif, akurat, dan sensitif terhadap nuansa budaya dan linguistik pengguna media sosial berbahasa Sunda.
- Bag of Tricks for Efficient Text Classification - ACL Anthology. bag tricks efficient text acl anthology... doi.org/10.18653/v1/e17-2068Bag of Tricks for Efficient Text Classification ACL Anthology bag tricks efficient text acl anthology doi 10 18653 v1 e17 2068
- Tracing Twitter: The rise of a microblogging platform | Intellect. tracing twitter rise platform intellect... doi.org/10.1386/macp.7.3.333_1Tracing Twitter The rise of a microblogging platform Intellect tracing twitter rise platform intellect doi 10 1386 macp 7 3 333 1
- Cyberbullying Detection: An Ensemble Based Machine Learning Approach | IEEE Conference Publication |... doi.org/10.1109/ICICV50876.2021.9388499Cyberbullying Detection An Ensemble Based Machine Learning Approach IEEE Conference Publication doi 10 1109 ICICV50876 2021 9388499
- Sentiment Analysis using Word2vec-CNN-BiLSTM Classification | IEEE Conference Publication | IEEE Xplore.... doi.org/10.1109/SNAMS52053.2020.9336549Sentiment Analysis using Word2vec CNN BiLSTM Classification IEEE Conference Publication IEEE Xplore doi 10 1109 SNAMS52053 2020 9336549
| File size | 549.21 KB |
| Pages | 12 |
| DMCA | Report |
Related /
UINMYBATUSANGKARUINMYBATUSANGKAR Penelitian ini menggunakan metodologi kualitatif dan analisis kepustakaan. Hadis Nabi yang mengandung nilai-nilai pendidikan praktis (tarbawi), serta karya-karyaPenelitian ini menggunakan metodologi kualitatif dan analisis kepustakaan. Hadis Nabi yang mengandung nilai-nilai pendidikan praktis (tarbawi), serta karya-karya
UIMUIM Accuracy using the MICE model provides results of up to 96%, while the SVD model provides an accuracy of 90,22%. This approach can increase the relevanceAccuracy using the MICE model provides results of up to 96%, while the SVD model provides an accuracy of 90,22%. This approach can increase the relevance
UINMYBATUSANGKARUINMYBATUSANGKAR Selain itu, penelitian ini mengidentifikasi peluang perubahan melalui program pelatihan guru yang terarah dan reformasi kebijakan yang menangani kesetaraanSelain itu, penelitian ini mengidentifikasi peluang perubahan melalui program pelatihan guru yang terarah dan reformasi kebijakan yang menangani kesetaraan
ITENASITENAS 330/7/2015. Pengujian mutu bahan aktif IPA Glyphosate 480 SL menunjukkan hasil linearitas dengan R² sebesar 0,9973, presisi %RPD sebesar 2,3% yang memenuhi330/7/2015. Pengujian mutu bahan aktif IPA Glyphosate 480 SL menunjukkan hasil linearitas dengan R² sebesar 0,9973, presisi %RPD sebesar 2,3% yang memenuhi
ITENASITENAS Hasil menunjukkan peningkatan luas bangunan dan lahan terbuka masing-masing 19,866 km² dan 17,877 km², sementara vegetasi dan badan air menurun 33,446Hasil menunjukkan peningkatan luas bangunan dan lahan terbuka masing-masing 19,866 km² dan 17,877 km², sementara vegetasi dan badan air menurun 33,446
JOURNAL GEHUJOURNAL GEHU In this study, two sampling techniques were used, namely, using purposive and random samples. Based on the sampling technique, class VIII F is the experimentalIn this study, two sampling techniques were used, namely, using purposive and random samples. Based on the sampling technique, class VIII F is the experimental
UMMUMM Model pembelajaran EMKONTAN merupakan salah satu model yang diyakini dapat meningkatkan kreativitas, keterampilan kolaborasi, dan literasi lingkungan mahasiswa.Model pembelajaran EMKONTAN merupakan salah satu model yang diyakini dapat meningkatkan kreativitas, keterampilan kolaborasi, dan literasi lingkungan mahasiswa.
UnwahasUnwahas Hal ini karena implementasi atau penerapan model CLT memiliki kelebihan dalam meningkatkan berbicara aktif (active speaking), disamping dapat pula meningkatkanHal ini karena implementasi atau penerapan model CLT memiliki kelebihan dalam meningkatkan berbicara aktif (active speaking), disamping dapat pula meningkatkan
Useful /
UINMYBATUSANGKARUINMYBATUSANGKAR Hasil uji validitas menunjukkan bahwa LKPD berada pada kategori sangat valid dengan rata-rata persentase 93%, sedangkan modul ajar memperoleh nilai rata-rataHasil uji validitas menunjukkan bahwa LKPD berada pada kategori sangat valid dengan rata-rata persentase 93%, sedangkan modul ajar memperoleh nilai rata-rata
UINMYBATUSANGKARUINMYBATUSANGKAR Temuan ini menegaskan bahwa sinergitas kemampuan pedagogik guru dan orang tua adalah kunci untuk membentuk generasi muda yang tidak hanya berpengetahuanTemuan ini menegaskan bahwa sinergitas kemampuan pedagogik guru dan orang tua adalah kunci untuk membentuk generasi muda yang tidak hanya berpengetahuan
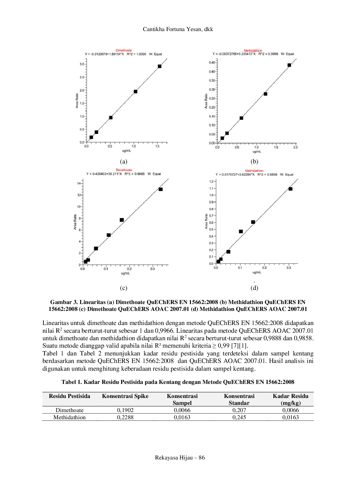
ITENASITENAS 2008 terbukti lebih sensitif dengan nilai LoD dan LoQ yang lebih rendah, serta kinerja optimal untuk kedua pestisida.meskipun kedua metode akurat dan residu2008 terbukti lebih sensitif dengan nilai LoD dan LoQ yang lebih rendah, serta kinerja optimal untuk kedua pestisida.meskipun kedua metode akurat dan residu
JOURNAL GEHUJOURNAL GEHU The studys results emphasized meaning rather than generalizations, found religious themes, and explained many values of life that could be taken in theThe studys results emphasized meaning rather than generalizations, found religious themes, and explained many values of life that could be taken in the