STEBIS IGMSTEBIS IGM
Jurnal Ilmiah Mahasiswa Perbankan Syariah (JIMPA)Jurnal Ilmiah Mahasiswa Perbankan Syariah (JIMPA)Penelitian ini bertujuan untuk mengetahui dan menganalisis pengaruh current ratio dan net profit margin terhadap harga saham pada PT. Fortune mate indonesia, Tbk. Dalam penelitian ini, metode yang digunakan adalah metode pendekatan kuantitatif, dan intrumen yang digunakan adalah laporan keuangan PT. Fortune mate indonesia, Tbk yang mencakup informasi tentang pendapatan, beban, aset, kewajiban, laba bersih, dan harga saham perusahaan. Hasil penelitian ini menunjukkan bahwa current ratio tidak memiliki pengaruh yang signifikan secara parsial terhadap harga saham H0 ditolak dan Ha diterima. Net profit margin tidak memiliki pengaruh yang signifikan secara parsial terhadap harga saham H0 ditolak dan Ha diterima. Dan secara simultan current ratio dan net profit margin tidak berpengaruh signifikan terhadap harga saham pada PT. Fortune mate indonesia, Tbk.
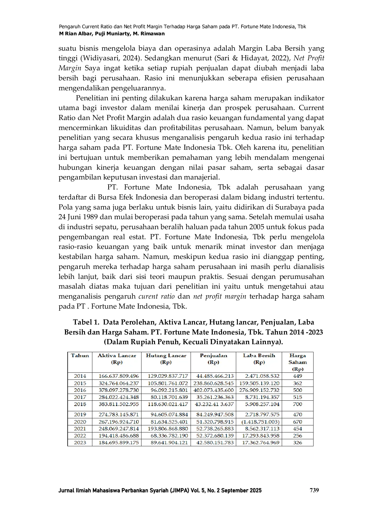
Adapun kesimpulan dalam penelitian ini adalah dicapai dari analisis dan pembahasan data penelitian, Current Ratio tidak terdapat pengaruh yang signifikan terhadap harga saham pada PT.Net Profit Margin tidak terdapat pengaruh yang signifikan terhadap harga saham pada PT.Current Ratio dan Net Profit Margin tidak terdapat pengaruh yang signifikan terhadap harga saham pada PT.
Penelitian selanjutnya sebaiknya meneliti pengaruh rasio keuangan yang lebih maju, seperti debt-to-equity ratio dan return on assets, secara simultan dengan current ratio dan net profit margin, serta membandingkan hasilnya di beberapa sektor industri untuk melihat perbedaan pengaruhnya. Selain itu, perlu dikaji bagaimana variabel makroekonomi seperti suku bunga, inflasi, dan nilai tukar dapat memoderasi hubungan antara rasio keuangan dan harga saham, sehingga memberikan gambaran yang lebih lengkap tentang faktor-faktor eksternal. Selanjutnya, penggunaan model non‑linear atau teknik pembelajaran mesin seperti random forest dan jaringan saraf tiruan dapat diuji untuk memprediksi harga saham dengan memasukkan kumpulan indikator keuangan dan non‑keuangan yang lebih luas, kemudian dibandingkan dengan model regresi linier tradisional. Pendekatan ini diharapkan dapat meningkatkan akurasi prediksi dan mengidentifikasi variabel yang paling berpengaruh. Peneliti juga dapat memperluas periode data hingga tahun 2030 untuk menangkap dinamika pasar yang lebih baru. Dengan menggabungkan analisis sektoral, faktor makro, dan metode prediksi modern, penelitian lanjutan dapat memberikan kontribusi yang lebih signifikan bagi akademisi dan praktisi pasar modal.
| File size | 883.39 KB |
| Pages | 18 |
| DMCA | Report |
Related /
STIE TDNSTIE TDN GCG berperan penting dalam menjaga kepercayaan nasabah, memperkuat stabilitas lembaga, dan memastikan kesesuaian operasional dengan nilai-nilai maqashidGCG berperan penting dalam menjaga kepercayaan nasabah, memperkuat stabilitas lembaga, dan memastikan kesesuaian operasional dengan nilai-nilai maqashid
IFRELIFREL Temuan menunjukkan bahwa pengetahuan spiritual pribumi menawarkan wawasan penting untuk menciptakan pendekatan yang lebih berkelanjutan dan etis dalamTemuan menunjukkan bahwa pengetahuan spiritual pribumi menawarkan wawasan penting untuk menciptakan pendekatan yang lebih berkelanjutan dan etis dalam
ESC IDESC ID Atreo Amnyntas Mubarak Batam, baik secara parsial maupun simultan. Temuan ini mengindikasikan bahwa kinerja karyawan tidak berdiri sendiri, melainkan dipengaruhiAtreo Amnyntas Mubarak Batam, baik secara parsial maupun simultan. Temuan ini mengindikasikan bahwa kinerja karyawan tidak berdiri sendiri, melainkan dipengaruhi
UNSRATUNSRAT Hasil penelitian menunjukkan bahwa komitmen organisasi, pemanfaatan teknologi informasi, dan efektivitas pengendalian internal berpengaruh signifikan terhadapHasil penelitian menunjukkan bahwa komitmen organisasi, pemanfaatan teknologi informasi, dan efektivitas pengendalian internal berpengaruh signifikan terhadap
UNSRATUNSRAT Penelitian ini menggunakan pendekatan kuantitatif dengan pengujian hipotesis dan analisis regresi linier berganda menggunakan SPSS versi 21. Hasil pengujianPenelitian ini menggunakan pendekatan kuantitatif dengan pengujian hipotesis dan analisis regresi linier berganda menggunakan SPSS versi 21. Hasil pengujian
UM PalembangUM Palembang Penelitian menemukan bahwa Big Money berperan signifikan dalam meningkatkan likuiditas melalui volume perdagangan yang tinggi, namun juga memicu fluktuasiPenelitian menemukan bahwa Big Money berperan signifikan dalam meningkatkan likuiditas melalui volume perdagangan yang tinggi, namun juga memicu fluktuasi
UM PalembangUM Palembang Oleh karena itu, model Altman Z-Score dan Taffler merupakan prediktor kesulitan keuangan yang paling akurat pada BPD dengan UUS. Model Altman Z-Score danOleh karena itu, model Altman Z-Score dan Taffler merupakan prediktor kesulitan keuangan yang paling akurat pada BPD dengan UUS. Model Altman Z-Score dan
UNIMAUNIMA Penerapan Green Accounting membantu perusahaan dalam mengelola biaya lingkungan secara efisien dan meningkatkan reputasi serta kepercayaan stakeholder,Penerapan Green Accounting membantu perusahaan dalam mengelola biaya lingkungan secara efisien dan meningkatkan reputasi serta kepercayaan stakeholder,
Useful /
UNSRATUNSRAT Hasil menunjukkan bahwa perencanaan, kapasitas sumber daya manusia, dan komitmen organisasi berpengaruh positif terhadap penyerapan anggaran, namun hanyaHasil menunjukkan bahwa perencanaan, kapasitas sumber daya manusia, dan komitmen organisasi berpengaruh positif terhadap penyerapan anggaran, namun hanya
UNSRATUNSRAT Penerapan Standar Akuntansi Pemerintah berbasis akrual di Kabupaten Bolaang Mongondow telah dilakukan dengan mengkompilasi data aset dari seluruh SKPD,Penerapan Standar Akuntansi Pemerintah berbasis akrual di Kabupaten Bolaang Mongondow telah dilakukan dengan mengkompilasi data aset dari seluruh SKPD,
STEBIS IGMSTEBIS IGM Berdasarkan penelitian tentang strategi pemasaran terhadap peningkatan volume penjualan PT. Oasis Waters International telah menerapkan strategi marketingBerdasarkan penelitian tentang strategi pemasaran terhadap peningkatan volume penjualan PT. Oasis Waters International telah menerapkan strategi marketing
STEBIS IGMSTEBIS IGM Penerapan SIMEDHI berdampak positif dan signifikan terhadap penilaian kinerja mediator hubungan industrial. SIMEDHI juga meningkatkan kompetensi mediatorPenerapan SIMEDHI berdampak positif dan signifikan terhadap penilaian kinerja mediator hubungan industrial. SIMEDHI juga meningkatkan kompetensi mediator