UNUBLITARUNUBLITAR
Briliant: Jurnal Riset dan KonseptualBriliant: Jurnal Riset dan KonseptualPengambilan keputusan mengenai kontrasepsi adalah bagian penting dalam perencanaan keluarga yang melibatkan tidak hanya individu, tetapi juga pasangan suami istri. Pengambilan keputusan penggunaan kontrasepsi sebenarnya tidak hanya menjadi tanggung jawab perempuan, tetapi juga menjadi tanggung jawab bersama dengan suami. Penting untuk memahami faktor-faktor yang mempengaruhi keputusan suami dalam menggunakan alat kontrasepsi, salah satunya adalah sikap terhadap perilaku. Mekanisme perubahan sikap juga sangat penting untuk dipahami, karena dapat mempengaruhi perubahan dalam pengambilan keputusan kontrasepsi suami. Penelitian ini bertujuan untuk mengidentifikasi bagaimana sikap suami terhadap kontrasepsi mempengaruhi proses pengambilan keputusan suami, serta peran mekanisme perubahan sikap dalam membentuk keterlibatan mereka dalam pilihan keluarga berencana. Penelitian ini merupakan penelitian kuantitatif dengan pendekatan cross-sectional. Teknik pengambilan sampel dilakukan secara acak dengan multistage random sampling. Sampel dalam penelitian ini dihitung berdasarkan rumus Yamahen sehingga diperoleh 110 responden. Hasil penelitian menunjukkan bahwa sikap suami terhadap kontrasepsi berpengaruh signifikan terhadap proses pengambilan keputusan mereka mengenai penggunaan kontrasepsi. Sikap positif terhadap kontrasepsi berhubungan dengan keterlibatan yang lebih besar dalam pengambilan keputusan dan kemungkinan yang lebih tinggi untuk menggunakan kontrasepsi. Mekanisme perubahan, seperti informasi dari penyedia layanan kesehatan dan diskusi dengan pasangan, memainkan peran penting dalam mengubah perspektif suami, yang pada akhirnya mengarah pada keputusan yang lebih mendukung terkait perencanaan keluarga. Temuan ini menyoroti pentingnya menargetkan perubahan sikap dalam intervensi yang ditujukan dalam meningkatkan partisipasi masyarakat dalam pengambilan keputusan konservasi.
Hasil penelitian menunjukkan bahwa pasangan yang tidak menggunakan alat kontrasepsi terdistribusi pada suami dewasa akhir dengan mayoritas berpendidikan SMA/SMK dan termasuk dalam golongan ekonomi menengah ke atas.Suami kurang setuju bahwa pemahaman tentang alat kontrasepsi vasektomi akan menarik minat untuk menggunakannya.Suami kurang yakin bahwa dirinya mampu menggunakan alat kontrasepsi vasektomi, suami menyatakan bahwa kontrasepsi merupakan tanggung jawab istri.Pengetahuan suami dalam memahami alat kontrasepsi pria masih kurang.Terpaan media terbukti mendukung dan berperan sebagai sumber informasi dan tambahan pengetahuan bagi suami.Lingkungan fisik yang mempengaruhi perubahan perilaku penggunaan alat kontrasepsi berupa sarana KB dari pemerintah, pelayanan kesehatan dan pelayanan kependudukan.Interaksi antara suami dan istri sangat mempengaruhi keterlibatan suami dalam mengambil tanggung jawab penggunaan alat kontrasepsi.Keyakinan suami terhadap hasil yang ingin dicapai ketika menggunakan alat kontrasepsi sangat penting dalam keberhasilan program KB, baik dalam memilih metode kontrasepsi yang tepat maupun dalam melaksanakan keputusan tersebut.Keputusan untuk menggunakan vasektomi tetap dianggap bukan keputusan yang tepat meskipun ia telah memiliki dua orang anak dan istrinya memiliki kondisi yang membuatnya tidak mungkin menggunakan alat kontrasepsi.Suami pun setuju dengan istrinya untuk mempertimbangkan penggunaan alat kontrasepsi jenis lain.Suami mengetahui bahwa metode kontrasepsi yang digunakan suami selain vasektomi akan efektif apabila digunakan secara berulang-ulang dengan baik dan benar.
Berdasarkan hasil penelitian, disarankan untuk melakukan intervensi yang berfokus pada perubahan sikap suami terhadap kontrasepsi dan vasektomi. Intervensi ini dapat mencakup kampanye edukasi yang lebih efektif mengenai kontrasepsi permanen, khususnya bagi suami. Selain itu, pemerintah atau lembaga kesehatan dapat menyediakan layanan konseling dan pendampingan psikologis kepada suami yang mempertimbangkan vasektomi. Pemahaman mengenai mekanisme perubahan sikap juga dapat membantu dokter dan tenaga medis untuk lebih efektif dalam memberi informasi dan mendukung keputusan yang dibuat oleh pasangan. Penelitian lanjutan dapat dilakukan untuk mengeksplorasi faktor-faktor lain yang mempengaruhi keputusan suami dalam menggunakan kontrasepsi, serta strategi-strategi intervensi yang dapat meningkatkan partisipasi suami dalam perencanaan keluarga.
- PENGARUH EDUKASI PIJAT OXITOXIN DENGAN PERSIAPAN LAKTASI PADA IBU HAMIL TM III DI KLINIK ASIH WALUYO... doi.org/10.35872/jurkeb.v14i01.525PENGARUH EDUKASI PIJAT OXITOXIN DENGAN PERSIAPAN LAKTASI PADA IBU HAMIL TM III DI KLINIK ASIH WALUYO doi 10 35872 jurkeb v14i01 525
- Male Involvement in Family Planning Utilization and Associated Factors | OAJC. male involvement family... doi.org/10.2147/oajc.s287159Male Involvement in Family Planning Utilization and Associated Factors OAJC male involvement family doi 10 2147 oajc s287159
| File size | 179.38 KB |
| Pages | 11 |
| DMCA | Report |
Related /
WESTSCIENCESWESTSCIENCES Temuan ini mengindikasikan bahwa EPS merupakan indikator penting dalam menentukan valuasi pasar perusahaan pada sektor otomotif. Penelitian ini diharapkanTemuan ini mengindikasikan bahwa EPS merupakan indikator penting dalam menentukan valuasi pasar perusahaan pada sektor otomotif. Penelitian ini diharapkan
UNUBLITARUNUBLITAR Akan tetapi, sebagian besar pemilik atau pengelola gedung kurang mempertimbangkan faktor biaya lain yang akan timbul, yaitu kurangnya pengetahuan tentangAkan tetapi, sebagian besar pemilik atau pengelola gedung kurang mempertimbangkan faktor biaya lain yang akan timbul, yaitu kurangnya pengetahuan tentang
UNUBLITARUNUBLITAR Implikasi penelitian ini menekankan pentingnya pengembangan kompetensi kepala sekolah dalam merancang program pembentukan karakter yang kontekstual danImplikasi penelitian ini menekankan pentingnya pengembangan kompetensi kepala sekolah dalam merancang program pembentukan karakter yang kontekstual dan
WESTSCIENCESWESTSCIENCES Keterbatasan penelitian ini terletak pada penggunaan satu database (Scopus) dan analisis kuantitatif bibliometrik, sehingga penelitian lanjutan disarankanKeterbatasan penelitian ini terletak pada penggunaan satu database (Scopus) dan analisis kuantitatif bibliometrik, sehingga penelitian lanjutan disarankan
UNHASAUNHASA Kabupaten Bondowoso memiliki prevalensi stunting yang tinggi, salah satunya disebabkan oleh rendahnya penerapan perilaku hidup bersih dan sehat (PHBS)Kabupaten Bondowoso memiliki prevalensi stunting yang tinggi, salah satunya disebabkan oleh rendahnya penerapan perilaku hidup bersih dan sehat (PHBS)
CERICCERIC Strategi pencarian menggunakan kata kunci khusus mengikuti PRISMA Extension untuk Tinjauan Sistematis. Kualitas studi yang disertakan dinilai menggunakanStrategi pencarian menggunakan kata kunci khusus mengikuti PRISMA Extension untuk Tinjauan Sistematis. Kualitas studi yang disertakan dinilai menggunakan
STIKESPANTIWALUYASTIKESPANTIWALUYA Metode: Desain penelitian dalam penelitian ini adalah deskriptif dengan pendekatan cross-sectional study. Populasi dalam penelitian ini adalah seluruhMetode: Desain penelitian dalam penelitian ini adalah deskriptif dengan pendekatan cross-sectional study. Populasi dalam penelitian ini adalah seluruh
ITEKES BALIITEKES BALI Demikian pula dengan gambaran sikap responden menunjukkan sikap yang positif sebesar (62,7%). Kesimpulan: Gambaran Pengetahuan dan Sikap Pasien tentangDemikian pula dengan gambaran sikap responden menunjukkan sikap yang positif sebesar (62,7%). Kesimpulan: Gambaran Pengetahuan dan Sikap Pasien tentang
Useful /
JURNALMAHUPIKIJURNALMAHUPIKI Paham radikalisme yang ada dalam lingkup keluarga sangat berbahaya khususnya terhadap anak-anak. Anak yang masih mencari jati dirinya perlu mendapatkanPaham radikalisme yang ada dalam lingkup keluarga sangat berbahaya khususnya terhadap anak-anak. Anak yang masih mencari jati dirinya perlu mendapatkan
UNUBLITARUNUBLITAR Penelitian dilakukan kepada pengguna jasa kereta api Stasiun Tanjung Karang dengan jumlah pelanggan meningkat tiap tahunnya. Diperlukannya TransportasiPenelitian dilakukan kepada pengguna jasa kereta api Stasiun Tanjung Karang dengan jumlah pelanggan meningkat tiap tahunnya. Diperlukannya Transportasi
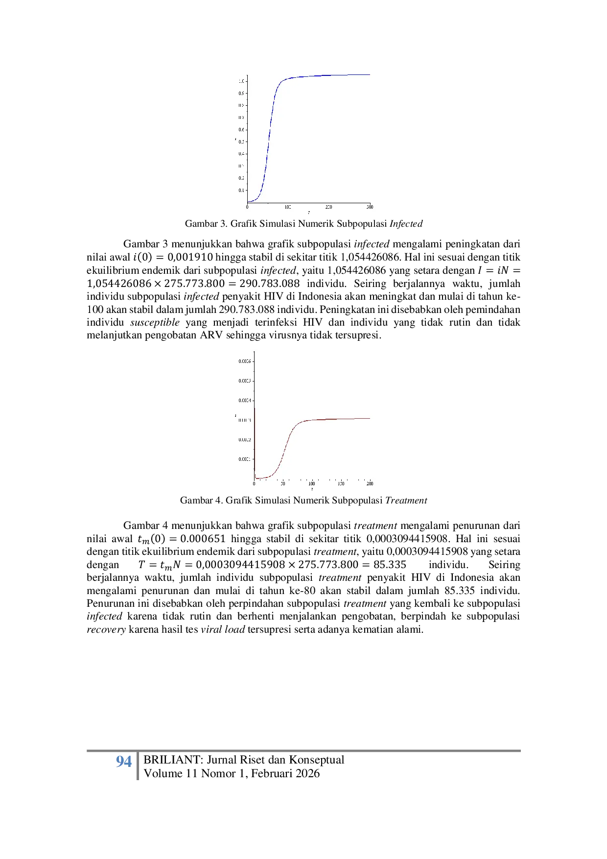
UNUBLITARUNUBLITAR Model SITR dengan tes viral load membagi populasi menjadi empat subpopulasi (S, I, T, R) dan memperkenalkan perpindahan dari subpopulasi treatment ke recoveryModel SITR dengan tes viral load membagi populasi menjadi empat subpopulasi (S, I, T, R) dan memperkenalkan perpindahan dari subpopulasi treatment ke recovery
ALIMSPUBLISHINGALIMSPUBLISHING Artikel ini dibuat bertujuan untuk mengetahui gaya bahasa yang digunakan dalam lirik lagu bergenre indie, genre yang banyak disukai oleh khalayak ramaiArtikel ini dibuat bertujuan untuk mengetahui gaya bahasa yang digunakan dalam lirik lagu bergenre indie, genre yang banyak disukai oleh khalayak ramai