UNISSULAUNISSULA
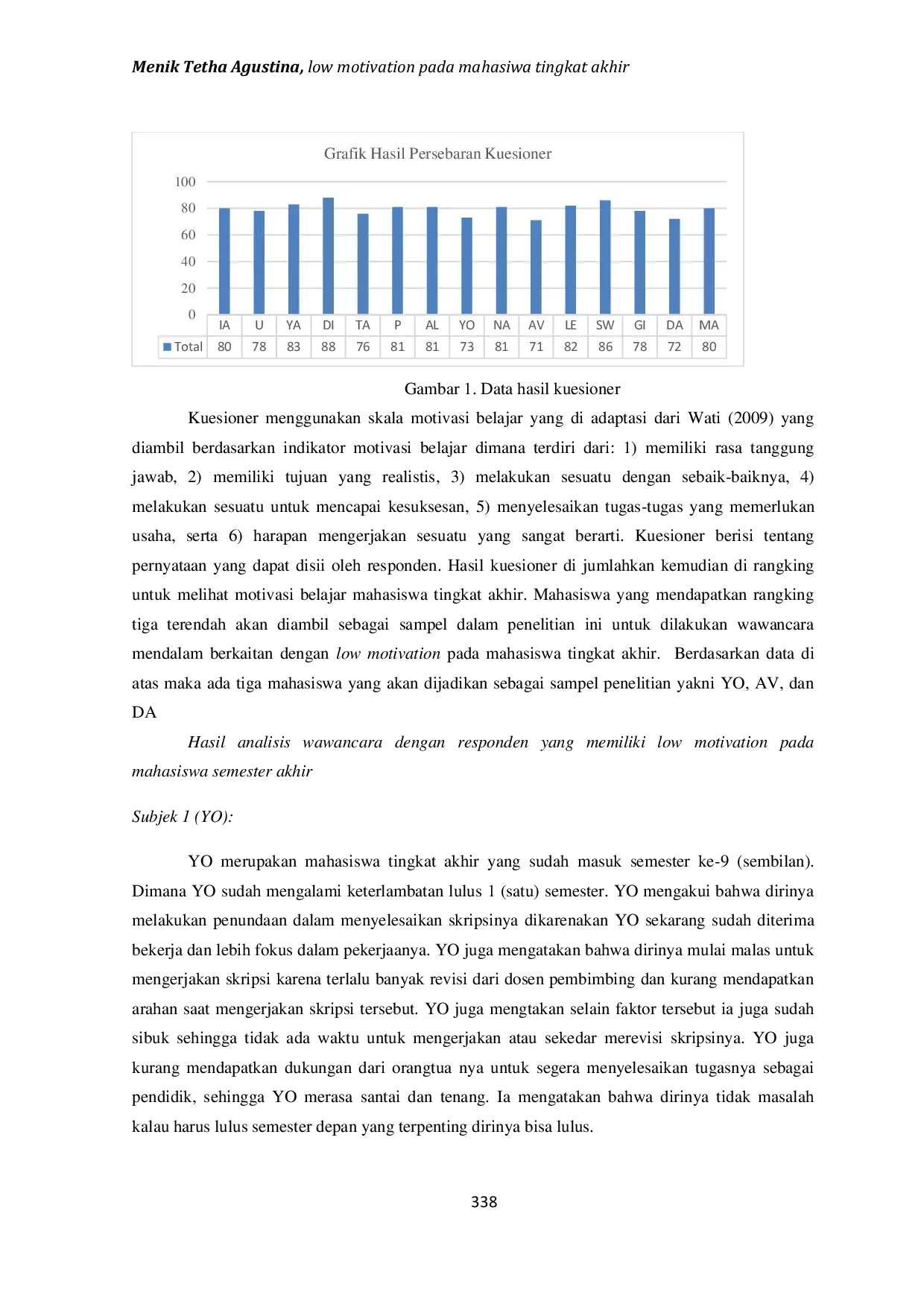
Jurnal Pendidikan Sultan AgungJurnal Pendidikan Sultan AgungMotivasi merupakan sumber kekuatan bagi mahasiswa tingkat akhir yang sedang menyelesaikan skripsi. Tanpa motivasi, mahasiswa akan melakukan prokrastinasi akademik, sehingga proses pembelajaran akan tertunda. Begitu juga pada mahasiswa tingkat akhir, mereka akan melakukan prokrastinasi akademik apabila tidak memiliki motivasi belajar. Untuk itu penelitian ini membuktikan bahwa ada faktor-faktor yang mempengaruhi mahasiswa tingkat akhir yang memiliki motivasi rendah, faktor tersebut adalah konsep diri, konformitas teman sebaya, minat terhadap tugas, dukungan sosial serta lingkungan.
Penelitian ini dilakukan untuk melihat faktor-faktor apa saja yang dapat menyebabkan rendahnya motivasi pada mahasiswa tingkat akhir.Hasil penelitian menunjukan bahwa faktor yang menyebabkan rendahnya motivasi pada mahasiswa tingkat akhir adalah konsep diri, konformitas teman sebaya, minat terhadap tugas, dukungan sosial serta lingkungan.
Penelitian lanjutan dapat mengkaji dampak penggunaan media sosial terhadap motivasi belajar mahasiswa tingkat akhir, karena pengaruhnya yang semakin besar di era digital. Selain itu, pentingnya peran mentor dalam meningkatkan motivasi melalui program bimbingan khusus. Terakhir, studi lebih lanjut tentang bagaimana lingkungan belajar hybrid (kampus dan online) memengaruhi prokrastinasi akademik, terutama di tengah perkembangan teknologi pendidikan saat ini.
| File size | 336.32 KB |
| Pages | 7 |
| DMCA | Report |
Related /
UNISSULAUNISSULA Berdasarkan latar belakang tersebut rumusan masalahnya 1) Bagaimana Implementasi Penilaian pada anak berkebutuhan khusus di sekolah inklusi SDN 14 JatinegaraBerdasarkan latar belakang tersebut rumusan masalahnya 1) Bagaimana Implementasi Penilaian pada anak berkebutuhan khusus di sekolah inklusi SDN 14 Jatinegara
UNISSULAUNISSULA Pada tahap pra-tindakan memiliki rata-rata nilai sebesar 61,78 dengan prosentase ketuntasan belajar sebesar 27,73 %. Pada siklus I rata-rata nilai 73,72Pada tahap pra-tindakan memiliki rata-rata nilai sebesar 61,78 dengan prosentase ketuntasan belajar sebesar 27,73 %. Pada siklus I rata-rata nilai 73,72
UNISSULAUNISSULA Metode yang digunakan adalah deskriptif kualitatif studi kasus dengan sampel guru dan siswa di SD Negeri Kendalagung, Kragan, Rembang. Penelitian ini menggunakanMetode yang digunakan adalah deskriptif kualitatif studi kasus dengan sampel guru dan siswa di SD Negeri Kendalagung, Kragan, Rembang. Penelitian ini menggunakan
UNISSULAUNISSULA Sedangkan subjek dengan kemampuan rendah memiliki pemahaman relasional kurang baik dalam menyelesaikan masalah FPB maupun KPK. Ditemukan perbedaan kemampuanSedangkan subjek dengan kemampuan rendah memiliki pemahaman relasional kurang baik dalam menyelesaikan masalah FPB maupun KPK. Ditemukan perbedaan kemampuan
UNISSULAUNISSULA Tujuan utama dari penelitian ini untuk menganalisis kemampuan literasi numerasi yang dimiliki siswa dalam menyelesaikan masalah pecahan. Metode yang digunakanTujuan utama dari penelitian ini untuk menganalisis kemampuan literasi numerasi yang dimiliki siswa dalam menyelesaikan masalah pecahan. Metode yang digunakan
UNISSULAUNISSULA Berdasarkan hasil penelitian dan pembahasan yang telah diuraikan didapat simpulan bahwa melalui pemanfaatan alat ukur Multimeter dengan penerapan teknikBerdasarkan hasil penelitian dan pembahasan yang telah diuraikan didapat simpulan bahwa melalui pemanfaatan alat ukur Multimeter dengan penerapan teknik
UNISSULAUNISSULA Penelitian ini dilatarbelakangi oleh pentingnya kemampuan pemecahan masalah bagi siswa dalam pembelajaran matematika dan adanya dugaan bahwa kemampuanPenelitian ini dilatarbelakangi oleh pentingnya kemampuan pemecahan masalah bagi siswa dalam pembelajaran matematika dan adanya dugaan bahwa kemampuan
SIMPADUSIMPADU Hasil penelitian menunjukkan bahwa adanya pengaruh pemahaman relasional dan instrumental dalam pembelajaran matematika ditinjau dari pemecahan masalahHasil penelitian menunjukkan bahwa adanya pengaruh pemahaman relasional dan instrumental dalam pembelajaran matematika ditinjau dari pemecahan masalah
Useful /
POLTEKKESJAMBIPOLTEKKESJAMBI Latar Belakang: Data Dinas Kesehatan Provinsi Papua menunjukkan prevalensi anemia pada remaja putri, kelas 7 dan 10 sebesar 15,15%. Remaja putri sangatLatar Belakang: Data Dinas Kesehatan Provinsi Papua menunjukkan prevalensi anemia pada remaja putri, kelas 7 dan 10 sebesar 15,15%. Remaja putri sangat
POLTEKKESJAMBIPOLTEKKESJAMBI Penelitian ini bertujuan untuk mengevaluasi efektivitas pelaksanaan ILP melalui pengembangan e-book sebagai media inovatif dalam pembelajaran kader Posyandu.Penelitian ini bertujuan untuk mengevaluasi efektivitas pelaksanaan ILP melalui pengembangan e-book sebagai media inovatif dalam pembelajaran kader Posyandu.
IAIKHOZINIAIKHOZIN Penelitian yang dilakukan di RA Al Fakhriyyah Jiken Blora, penerapan media permainan mencari jejak (maze) terbukti efektif dalam meningkatkan kemampuanPenelitian yang dilakukan di RA Al Fakhriyyah Jiken Blora, penerapan media permainan mencari jejak (maze) terbukti efektif dalam meningkatkan kemampuan
IIKNUTUBANIIKNUTUBAN Kegiatan dilakukan dalam tahapan: pretest, penyuluhan, pelatihan pengukuran antropometri, dan posttest. Hasil kegiatan menunjukkan peningkatan pengetahuanKegiatan dilakukan dalam tahapan: pretest, penyuluhan, pelatihan pengukuran antropometri, dan posttest. Hasil kegiatan menunjukkan peningkatan pengetahuan