Biomedika Files
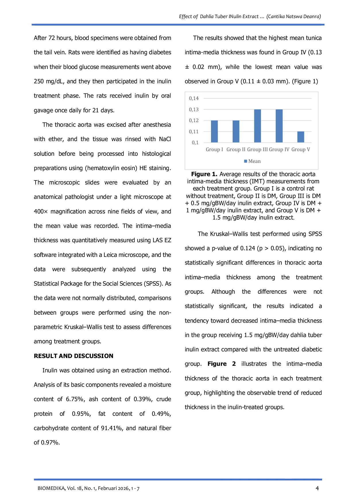
UMSUMS Ekstrak inulin umbi dahlia menunjukkan kecenderungan untuk mengurangi ketebalan tunika intima-media aorta torakalis pada tikus model T2DM, terutama padaEkstrak inulin umbi dahlia menunjukkan kecenderungan untuk mengurangi ketebalan tunika intima-media aorta torakalis pada tikus model T2DM, terutama pada
UMSUMS Dari 75 pasien yang dicurigai terinfeksi Covid-19, ditemukan 33 pasien laki-laki (44%) dan 42 perempuan (56%), dengan kelompok usia terbanyak >55 tahunDari 75 pasien yang dicurigai terinfeksi Covid-19, ditemukan 33 pasien laki-laki (44%) dan 42 perempuan (56%), dengan kelompok usia terbanyak >55 tahun
UMSUMS Hasil penelitian menunjukkan bahwa kelompok injeksi memiliki skor WOMAC yang secara signifikan lebih rendah (19,2 ± 14,0) dibandingkan dengan kelompokHasil penelitian menunjukkan bahwa kelompok injeksi memiliki skor WOMAC yang secara signifikan lebih rendah (19,2 ± 14,0) dibandingkan dengan kelompok
UMSUMS Penelitian ini menyimpulkan bahwa keempat variabel independen—kualitas kinerja, kuantitas pekerjaan, ketepatan waktu, dan efektivitas—secara signifikanPenelitian ini menyimpulkan bahwa keempat variabel independen—kualitas kinerja, kuantitas pekerjaan, ketepatan waktu, dan efektivitas—secara signifikan
UMSUMS dalam sampel pernapasan cukup tinggi, insidensi sebenarnya dari Pneumonia Candida hanya sekitar 0,23-0,4%. Namun demikian, Pneumonia Candida secara signifikandalam sampel pernapasan cukup tinggi, insidensi sebenarnya dari Pneumonia Candida hanya sekitar 0,23-0,4%. Namun demikian, Pneumonia Candida secara signifikan
UMSUMS Namun, masih ada beberapa tantangan yang perlu diatasi sebelum penerapan EWAS yang luas. Kebanyakan studi saat ini menggunakan desain cross-sectional,Namun, masih ada beberapa tantangan yang perlu diatasi sebelum penerapan EWAS yang luas. Kebanyakan studi saat ini menggunakan desain cross-sectional,
UMSUMS Penyakit degeneratif tulang belakang lumbal merupakan penyebab utama disabilitas yang mengurangi kualitas hidup pasien. Namun, Magnetic Resonance ImagingPenyakit degeneratif tulang belakang lumbal merupakan penyebab utama disabilitas yang mengurangi kualitas hidup pasien. Namun, Magnetic Resonance Imaging
UMSUMS Penelitian selanjutnya disarankan menggunakan rentang konsentrasi yang lebih tinggi, analisis profil fitokimia, serta fraksi senyawa murni untuk mengevaluasiPenelitian selanjutnya disarankan menggunakan rentang konsentrasi yang lebih tinggi, analisis profil fitokimia, serta fraksi senyawa murni untuk mengevaluasi
UMSUMS The research was performed on a retrospective cohort of NHI patients diagnosed with T2DM in an outpatient setting during the initial six months of 2025The research was performed on a retrospective cohort of NHI patients diagnosed with T2DM in an outpatient setting during the initial six months of 2025
Latest /
RADEN FATAHRADEN FATAH Selanjutnya, BjTP 280 direndam dalam ekstrak konsentrasi dengan variasi waktu perendaman 0, 24, 72, 120, dan 168 jam. BjTP 280 digunakan dalam strukturSelanjutnya, BjTP 280 direndam dalam ekstrak konsentrasi dengan variasi waktu perendaman 0, 24, 72, 120, dan 168 jam. BjTP 280 digunakan dalam struktur
GREENATIONPUBLISHERGREENATIONPUBLISHER Penelitian ini dilaksanakan di Green House Fakultas Pertanian Universitas Winaya Mukti-Sumedang, Jawa Barat dengan ketinggian tempat 870 m di atas permukaanPenelitian ini dilaksanakan di Green House Fakultas Pertanian Universitas Winaya Mukti-Sumedang, Jawa Barat dengan ketinggian tempat 870 m di atas permukaan
UNJAUNJA Latar belakang penelitian didasarkan pada keunikan bahasa Bali yang dipengaruhi oleh sistem sosial serta variasi dialek yang memengaruhi penggunaan leksikon.Latar belakang penelitian didasarkan pada keunikan bahasa Bali yang dipengaruhi oleh sistem sosial serta variasi dialek yang memengaruhi penggunaan leksikon.
UNIPAUNIPA Dari hasil analisis terhadap tutupan lahan di Desa Mata Air, terdapat tujuh klasifikasi tutupan, yaitu hutan, sawah, bangunan, semak belukar, tubuh air,Dari hasil analisis terhadap tutupan lahan di Desa Mata Air, terdapat tujuh klasifikasi tutupan, yaitu hutan, sawah, bangunan, semak belukar, tubuh air,