STTMIGAS Files
Useful /
STT GKESTT GKE Perintah ini merupakan pemanfaatan alam dengan berpedoman pada wawasan ekologis dan berorientasi pada implikasi ekologisnya. Dengan menggunakan perspektifPerintah ini merupakan pemanfaatan alam dengan berpedoman pada wawasan ekologis dan berorientasi pada implikasi ekologisnya. Dengan menggunakan perspektif
STT GKESTT GKE Penelitian ini menunjukkan bahwa pelayanan gereja di Jemaat GKE Eppata dan GKE Eben Ezer telah mengimplementasikan model pelayanan holistik yang mencakupPenelitian ini menunjukkan bahwa pelayanan gereja di Jemaat GKE Eppata dan GKE Eben Ezer telah mengimplementasikan model pelayanan holistik yang mencakup
STIE PORTNUMBAYSTIE PORTNUMBAY Pada pengabdian Masayarakat ini Strategi penatalayanan pada gereja dan jemaat pada Generasi Z dan Milenial diberikan pelatihan bagaimana mengelola TantanganPada pengabdian Masayarakat ini Strategi penatalayanan pada gereja dan jemaat pada Generasi Z dan Milenial diberikan pelatihan bagaimana mengelola Tantangan
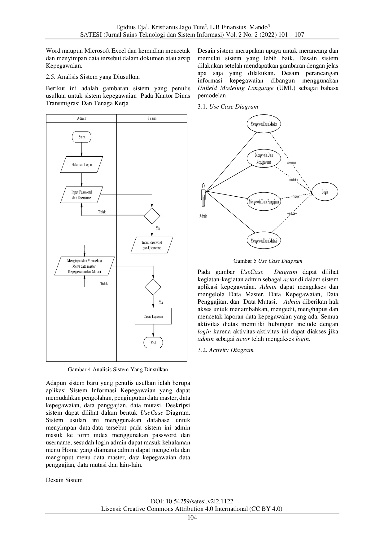
YP3AYP3A Kesimpulan ini melakukan pendataan data-data yang dibutuhkan dalam kepegawaian seperti data pegawai, data penggajian, data mutasi, data pangkat/golongan,Kesimpulan ini melakukan pendataan data-data yang dibutuhkan dalam kepegawaian seperti data pegawai, data penggajian, data mutasi, data pangkat/golongan,
Related /
METROMETRO Interaksi sosial yang positif dapat menumbuhkan pemahaman keagamaan di antara mahasiswa yang bersikap tertutup dan tekstual, sehingga mereka merasakanInteraksi sosial yang positif dapat menumbuhkan pemahaman keagamaan di antara mahasiswa yang bersikap tertutup dan tekstual, sehingga mereka merasakan
E SIBERE SIBER Tujuan penelitian ini adalah untuk menganalisis apakah guru bimbingan dan konseling dapat memainkan peran dalam meningkatkan disiplin pada generasi Z.Tujuan penelitian ini adalah untuk menganalisis apakah guru bimbingan dan konseling dapat memainkan peran dalam meningkatkan disiplin pada generasi Z.
LITERASISAINSNUSANTARALITERASISAINSNUSANTARA Hasilnya menunjukkan bahwa akuntansi manajerial berperan signifikan dalam membantu organisasi mengidentifikasi ancaman potensial, mengelola risiko operasional,Hasilnya menunjukkan bahwa akuntansi manajerial berperan signifikan dalam membantu organisasi mengidentifikasi ancaman potensial, mengelola risiko operasional,
E SIBERE SIBER Kesimpulan penelitian ini menunjukkan bahwa kepemimpinan kepala sekolah berperan signifikan terhadap Generasi Z. Selain itu, bimbingan konseling juga memilikiKesimpulan penelitian ini menunjukkan bahwa kepemimpinan kepala sekolah berperan signifikan terhadap Generasi Z. Selain itu, bimbingan konseling juga memiliki