ITNITN
JURNAL FLYWHEELJURNAL FLYWHEELMasyarakat di daerah kepulauan dan pesisir pantai sering mengalami kekurangan air, terutama musim kemarau. Penelitian ini bertujuan untuk membandingkan solar still double slope menggunakan pendingin nitrogen pada dinding (SSDS.WCN) dan tanpa pendingin SSDS. Penelitian dilakukan secara eksperimen, teoritis dan kajian eksergi. Hasil penelitian menunjukkan bahwa produktivitas air kondensat menggunakan pendingin nitrogen pada dinding (SSDS.WCN) secara eksperimen rata-rata sebesar 2.28 kg/10jam.m2 dan teoritis sebesar 2.15 kg/10jam.m2 lebih tinggi dibandingkan dengan tanpa pendingin (SSDS) secara eksperimen sebesar 1.98 kg/10jam.m2 dan teoritis sebesar 2.07 kg/10jam.m2. Efisiensi solar still menggunakan pendingin nitrogen pada dinding (SSDS.WCN) secara eksperimen rata-rata sebesar 37.05% dan teoritis sebesar 38.87% lebih tinggi dibandingkan dengan tanpa pendingin (SSDS) secara eksperimen sebesar 34.02% dan teoritis sebesar 35.27%. Efisiensi eksergi rata-rata menggunakan SSDS.WCN sebesar 4.78% dibandingkan dengan SSDS sebesar 4.49%. Solar still menggunakan pendingin nitrogen pada dinding dapat meningkatkan produktivitas air kondensat, efisiensi solar still dan efisiensi eksergi dibandingkan dengan tanpa pendingin.
Penelitian ini menyimpulkan bahwa penambahan pendingin nitrogen pada dinding solar still double slope meningkatkan produktivitas air kondensat, efisiensi energi, dan efisiensi eksergi.Secara spesifik, produktivitas air kondensat dengan pendingin nitrogen lebih tinggi sebesar 2.Peningkatan efisiensi energi juga signifikan, mencapai 37.
Penelitian lanjutan dapat difokuskan pada optimasi desain sistem pendingin nitrogen, misalnya dengan variasi jenis nitrogen atau metode pembilasan yang lebih efisien, untuk memaksimalkan penurunan temperatur kaca penutup dan peningkatan produktivitas air. Selain itu, studi komparatif perlu dilakukan dengan membandingkan penggunaan pendingin nitrogen dengan metode pendinginan lain, seperti air atau material perubahan fasa, untuk menentukan solusi yang paling ekonomis dan ramah lingkungan. Terakhir, penelitian lebih lanjut dapat menginvestigasi potensi integrasi solar still dengan sistem energi terbarukan lainnya, seperti panel fotovoltaik, untuk menciptakan sistem desalinasi air yang berkelanjutan dan mandiri energi, sehingga dapat memberikan solusi air bersih yang terjangkau bagi masyarakat pesisir dan kepulauan.
| File size | 803.75 KB |
| Pages | 10 |
| DMCA | Report |
Related /
POLITEKNIKJAMBIPOLITEKNIKJAMBI Capaian suhu terendah konfigurasi rangkaian kelistrikan seri tercatat 9,71% lebih rendah dibandingkan konfigurasi rangkaian kelistrikan paralel. Dari hasilCapaian suhu terendah konfigurasi rangkaian kelistrikan seri tercatat 9,71% lebih rendah dibandingkan konfigurasi rangkaian kelistrikan paralel. Dari hasil
JRTPPIJRTPPI Secara keseluruhan, mengintegrasikan orientasi matahari dan perangkat peneduh sebagai komponen integral desain gedung pendidikan dapat mengurangi konsumsiSecara keseluruhan, mengintegrasikan orientasi matahari dan perangkat peneduh sebagai komponen integral desain gedung pendidikan dapat mengurangi konsumsi
UBTUBT PLC memiliki beberapa keunggulan termasuk memudahkan perubahan sistem kabel tanpa perlu mengganti sistem kabel dan dapat menggantikan kinerja beberapaPLC memiliki beberapa keunggulan termasuk memudahkan perubahan sistem kabel tanpa perlu mengganti sistem kabel dan dapat menggantikan kinerja beberapa
ITNITN Briket ialah salah satu sumber energi alternatif yang bisa digunakan, guna untuk mengambil alih sebagian dari penggunaan bahan bakar minyak. Biomassa yangBriket ialah salah satu sumber energi alternatif yang bisa digunakan, guna untuk mengambil alih sebagian dari penggunaan bahan bakar minyak. Biomassa yang
ITNITN Nozel adalah perangkat yang dirancang untuk mengarahkan atau menyemprotkan suatu zat, seperti cairan atau gas, dengan cara yang terkendali. Nozel dapatNozel adalah perangkat yang dirancang untuk mengarahkan atau menyemprotkan suatu zat, seperti cairan atau gas, dengan cara yang terkendali. Nozel dapat
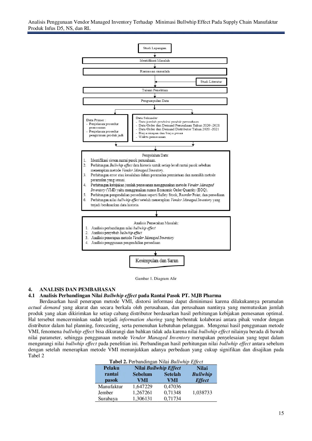
ITNITN PT. MJB Pharma merupakan perusahaan farmasi yang menghasilkan pendapatan utama dari penjualan produk infus tipe D5, NS, dan RL. Permintaan konsumen relatifPT. MJB Pharma merupakan perusahaan farmasi yang menghasilkan pendapatan utama dari penjualan produk infus tipe D5, NS, dan RL. Permintaan konsumen relatif
ITNITN Hasil analisis menunjukkan faktor dominan penyebab patahnya paddle mixer adalah faktor mesin. Perhitungan Overall Equipment Effectiveness (OEE) menghasilkanHasil analisis menunjukkan faktor dominan penyebab patahnya paddle mixer adalah faktor mesin. Perhitungan Overall Equipment Effectiveness (OEE) menghasilkan
ITNITN Nilai laju korosi rata-rata terendah terdapat pada konsentrasi 100 ppm dengan nilai rata-rata 0,15 mm/tahun, sedangkan nilai laju korosi tertinggi terdapatNilai laju korosi rata-rata terendah terdapat pada konsentrasi 100 ppm dengan nilai rata-rata 0,15 mm/tahun, sedangkan nilai laju korosi tertinggi terdapat
Useful /
UMPOUMPO Dengan demikian, penerapan vacuum frying efektif dalam menjaga kualitas produk olahan buah serta memberikan dampak positif bagi pengrajin usaha pada sektorDengan demikian, penerapan vacuum frying efektif dalam menjaga kualitas produk olahan buah serta memberikan dampak positif bagi pengrajin usaha pada sektor
UNDIKMAUNDIKMA Dengan menginvestigasi kekurangan spesifik yang dihadapi mahasiswa dan menyelaraskannya dengan strategi instruksional yang disesuaikan, penelitian iniDengan menginvestigasi kekurangan spesifik yang dihadapi mahasiswa dan menyelaraskannya dengan strategi instruksional yang disesuaikan, penelitian ini
ITNITN Indonesia merupakan negara dengan potensi energi matahari yang cukup baik, letak geografis yang berada pada garis khatulistiwa membuat Indonesia mendapatIndonesia merupakan negara dengan potensi energi matahari yang cukup baik, letak geografis yang berada pada garis khatulistiwa membuat Indonesia mendapat
UNIMALUNIMAL Penelitian menggunakan rancangan acak kelompok (RAK) dengan 7 perlakuan dosis green manure T. diversifolia yaitu: T0 (Control), T1 (T. diversifolia 0,87Penelitian menggunakan rancangan acak kelompok (RAK) dengan 7 perlakuan dosis green manure T. diversifolia yaitu: T0 (Control), T1 (T. diversifolia 0,87