KARYAKESEHATANKARYAKESEHATAN
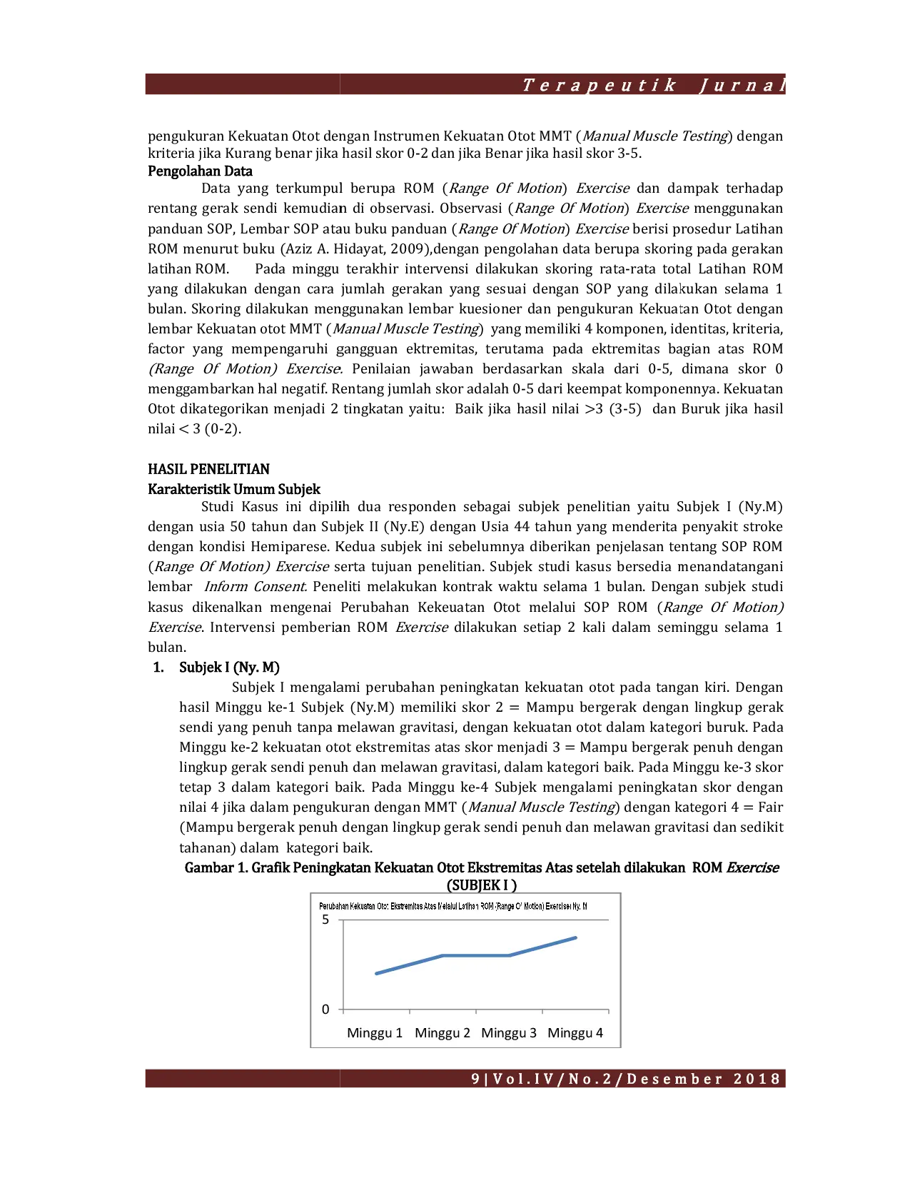
TERAPEUTIK JURNAL : Jurnal Ilmiah Ilmu Keperawatan dan Kedokteran KomunitasTERAPEUTIK JURNAL : Jurnal Ilmiah Ilmu Keperawatan dan Kedokteran KomunitasStroke merupakan gangguan pada sistem saraf ditandai dengan serangan akut / mendadak yang mengakibatkan kelumpuhan pada salah satu sisi badan secara persisten dan menimbulkan kematian sel saraf (neuron). Stroke dapat menimbulkan dampak salah satunya terjadi gangguan muskuloskeletal yaitu penurunan kekuatan otot. Salah satu terapi alternatif dalam proses rehabilitasi pada pasien stroke yaitu Range Of Motion Exercise merupakan gerakan pada segmen tubuh terjadi sebagai akibat kontraksi otot atau gaya dari luar (external forces) yang menggerakkan tulang. Terapi ini sudah dikenal oleh terapis maupun tenaga kesehatan namun pada beberapa rumah sakit. Tujuan penelitian ini untuk mengetahui pengaruh ROM Exercise terhadap perubahan kekuatan otot ekstremitas atas pada pasien stroke. Desain penelitian ini adalah studi kasus deskripsi dengan jumlah sampel 2 subjek responden. Hasil observasi menunujukan kekuatan otot yaitu >3 dalam kategori baik, menunjukan adanya peningkatan signifikan antara skala kekuatan otot sebelum dan sesudah dilakukan ROM Exercise disebabkan oleh kontraksi otot dan pergerakan yang sering dilakukan sehingga masa otot bertambah dan membuat kekuatan otot meningkat serta memelihara mobilitas persendian. Diharapkan hasil penilitian ini, ROM Exercise bisa dijadikan petugas kesehatan sebagai salah satu tindakan perawatan yang efektif untuk pasien stroke yang mengalami kelemahan kekuatan otot pada bagian ekstremitas dan bertujuan untuk mempercepat pemulihan dengan teknik yang sesuai dan terjadwal.
Berdasarkan hasil penelitian yang dilakukan selama empat minggu dengan dua kali pertemuan per minggu, terdapat perubahan kekuatan otot ekstremitas atas melalui latihan ROM (Range of Motion) pada pasien stroke.Peningkatan kekuatan otot terjadi akibat kontraksi otot dan pergerakan rutin yang meningkatkan massa dan kekuatan otot serta menjaga mobilitas sendi.Latihan ROM dapat menjadi tindakan efektif dalam rehabilitasi pasien stroke untuk mengatasi kelemahan otot dan mempercepat pemulihan.
Pertama, perlu diteliti efektivitas latihan ROM yang dilakukan secara mandiri dibandingkan dengan bantuan tenaga kesehatan dalam meningkatkan kemandirian dan kekuatan otot pasien stroke di rumah. Kedua, penting untuk mengeksplorasi pengaruh frekuensi dan durasi latihan ROM yang lebih intensif terhadap pemulihan fungsi motorik pada pasien stroke dalam jangka panjang. Ketiga, perlu dikaji bagaimana penerapan modifikasi latihan ROM berbasis teknologi sederhana atau alat bantu dapat meningkatkan konsistensi dan hasil terapi pada populasi pasien stroke di fasilitas kesehatan primer seperti puskesmas. Penelitian-penelitian ini dapat memberikan gambaran lebih komprehensif tentang optimalisasi terapi ROM dalam konteks rehabilitasi stroke di lingkungan masyarakat. Dengan memahami faktor-faktor yang memengaruhi keberhasilan terapi, intervensi dapat dirancang lebih tepat sasaran dan berkelanjutan. Studi lanjutan sebaiknya melibatkan sampel yang lebih besar dan desain yang lebih kuat seperti quasi-eksperimen. Selain itu, penting untuk mempertimbangkan variabel psikososial seperti motivasi, dukungan keluarga, dan pengetahuan pasien terhadap keberhasilan rehabilitasi. Penelitian juga dapat mengevaluasi integrasi ROM Exercise dengan terapi lain seperti stimulasi saraf atau latihan fungsional. Hasilnya diharapkan dapat mendukung pengembangan protokol rehabilitasi berbasis bukti yang mudah diimplementasikan. Dengan demikian, terapi ROM tidak hanya meningkatkan kekuatan otot, tetapi juga kualitas hidup pasien stroke secara menyeluruh.
| File size | 601.92 KB |
| Pages | 7 |
| DMCA | Report |
Related /
KARYAKESEHATANKARYAKESEHATAN Stroke dapat menimbulkan dampak salah satunya terjadi gangguan muskuloskeletal yaitu penurunan kekuatan otot. Salah satu terapi alternatif dalam prosesStroke dapat menimbulkan dampak salah satunya terjadi gangguan muskuloskeletal yaitu penurunan kekuatan otot. Salah satu terapi alternatif dalam proses
STAIBREBESSTAIBREBES Sumber data menggunakan data primer dan data sekunder. Data primer meliputi hasil wawancara dan observasi. Sementara data sekunder dari hasil dokumentasi.Sumber data menggunakan data primer dan data sekunder. Data primer meliputi hasil wawancara dan observasi. Sementara data sekunder dari hasil dokumentasi.
STAIBREBESSTAIBREBES Karya Syekh Sholeh Darat dan Syekh Ihsan Jampes dapat menjelaskan bagaimana tasawuf ini berdialog dengan masyarakat setempat agar dengan mudah dapat dijalankan.Karya Syekh Sholeh Darat dan Syekh Ihsan Jampes dapat menjelaskan bagaimana tasawuf ini berdialog dengan masyarakat setempat agar dengan mudah dapat dijalankan.
AKPERGITAMATURAABADIAKPERGITAMATURAABADI Diharapkan pasien gagal ginjal kronik yang telah berpengalaman dengan hemodialisis dapat meningkatkan kesehatan fisik mereka lebih lanjut, karena semakinDiharapkan pasien gagal ginjal kronik yang telah berpengalaman dengan hemodialisis dapat meningkatkan kesehatan fisik mereka lebih lanjut, karena semakin
UMNUUMNU Peningkatan ketersediaan PUFA di plasma berperan ganda secara metabolik, ia secara efektif meningkatkan efisiensi pemanfaatan energi dan memperbaiki statusPeningkatan ketersediaan PUFA di plasma berperan ganda secara metabolik, ia secara efektif meningkatkan efisiensi pemanfaatan energi dan memperbaiki status
STAIBREBESSTAIBREBES Padahal seharusnya orang tua juga harus ikut mendukung anak dalam pendidikannya khususnya pendidikan Islamnya. Tujuan dari penelitian ini yaitu untuk memahamiPadahal seharusnya orang tua juga harus ikut mendukung anak dalam pendidikannya khususnya pendidikan Islamnya. Tujuan dari penelitian ini yaitu untuk memahami
UNIRAYAUNIRAYA Peran saksi dalam peradilan pidana di Indonesia sangat penting karena keterangan saksi merupakan alat bukti utama dalam setiap perkara pidana. Namun, perlindunganPeran saksi dalam peradilan pidana di Indonesia sangat penting karena keterangan saksi merupakan alat bukti utama dalam setiap perkara pidana. Namun, perlindungan
INABAINABA Analisis regresi kuadrat terkecil biasa dengan pendekatan perangkat lunak EViews digunakan untuk menganalisis pengaruh variabel independen terhadap variabelAnalisis regresi kuadrat terkecil biasa dengan pendekatan perangkat lunak EViews digunakan untuk menganalisis pengaruh variabel independen terhadap variabel
Useful /
UMNUUMNU Pemantauan kalsium darah dan susu dapat dijadikan indikator penting untuk menilai status metabolik sapi perah dan membantu menentukan strategi suplementasiPemantauan kalsium darah dan susu dapat dijadikan indikator penting untuk menilai status metabolik sapi perah dan membantu menentukan strategi suplementasi
UMNUUMNU Di rumen, probiotik juga menstabilkan pH, meningkatkan populasi mikroba selulolitik, dan meningkatkan produksi asam lemak volatil (VFA) yang menjadi sumberDi rumen, probiotik juga menstabilkan pH, meningkatkan populasi mikroba selulolitik, dan meningkatkan produksi asam lemak volatil (VFA) yang menjadi sumber
IAINSORONGIAINSORONG Deskripsi tersebut menunjukkan posisional kepemimpinan kiai dalam dunia Pendidikan pondok pesantren sangat urgen sebagai satu pilar atau penyangga terhadapDeskripsi tersebut menunjukkan posisional kepemimpinan kiai dalam dunia Pendidikan pondok pesantren sangat urgen sebagai satu pilar atau penyangga terhadap
IAINSORONGIAINSORONG The type of research used is library research, using descriptive-analytical methods, with a sanad and matn criticism approach. The results showed thatThe type of research used is library research, using descriptive-analytical methods, with a sanad and matn criticism approach. The results showed that