SYEKH NURJATISYEKH NURJATI
EL-IBTIKAR: Jurnal Pendidikan Bahasa ArabEL-IBTIKAR: Jurnal Pendidikan Bahasa ArabPenelitian ini bertujuan untuk mengetahui efektifitas penggunaan Direct Method dalam pengajaran Bahasa Arab bagi mahasiswa semester II Fakultas Komunikasi Universitas Islam Riau. Rata-rata mahasiswa ini merupakan lulusan dari SMA/SMK dan belum pernah mendapatkan pembelajaran bahasa Arab. Adapun metode yang dipilih dalam melakukan penelitian ini adalah metode kualitatif dengan observasi, interview dan angket sebagai cara pengumpulan data. Observasi dilaksanakan di 3 kelas selama satu semester, sedangkan interview dilakukan kepada 7 orang mahasiswa yang dipilih dengan teknik pemilihan sampel terstruktur. Adapun angket disebarkan kepada 95 sampel populasi yang berjumlah 122 orang yang pilih secara acak. Berdasarkan hasil penelitian diketahui bahwa direct Method efektif dalam pengajaran bahasa arab bagi mahasiswa Fakultas Ilmu Komunikasi Universitas Islam Riau.
Dari uraian hasil penelitian dapat ditarik kesimpulan bahwa Direct Method efektif digunakan dalam pembelajaran bahasa Arab di fakultas Ilmu Komunikasi Universitas Islam Riau.Hal ini dapat dibuktikan dengan beberapa indikator-indikator.partisifasi aktif dari para mahasiswa dalam mengikuti perkuliahan, baik dalam prosentase kehadiran maupun dalam aktivitas kegiatan pengajaran dan pembelajaran di kelas.Hasil ujian akhir yang memperlihatkan hasil ujian mahasiswa cukup memuaskan.Tanggapan baik dan positif dari seluruh responden dalam wawancara.Dari segi proses pembelajaran di Kelas dengan metode direct method hampir semua responden mengatakan efektif.
Berdasarkan hasil penelitian, terdapat beberapa saran penelitian lanjutan yang dapat dikembangkan. Pertama, penelitian selanjutnya dapat meneliti pengaruh penggunaan media pembelajaran interaktif terhadap motivasi belajar bahasa Arab pada mahasiswa. Hal ini penting untuk mengetahui apakah penggunaan media yang lebih menarik dapat meningkatkan minat dan semangat belajar mahasiswa. Kedua, perlu dilakukan penelitian komparatif antara metode Direct Method dengan metode pembelajaran bahasa Arab lainnya, seperti metode komunikatif, untuk mengetahui metode mana yang lebih efektif dalam meningkatkan kemampuan berbahasa Arab secara komprehensif. Ketiga, penelitian dapat difokuskan pada pengembangan materi pembelajaran bahasa Arab yang lebih relevan dengan kebutuhan mahasiswa Fakultas Ilmu Komunikasi, misalnya materi tentang terminologi media dan komunikasi dalam bahasa Arab. Dengan demikian, pembelajaran bahasa Arab dapat lebih bermanfaat bagi mahasiswa dalam menunjang studi dan karir mereka.
| File size | 937.05 KB |
| Pages | 16 |
| DMCA | Report |
Related /
PBSI UPRPBSI UPR Penelitian ini membahas fenomena interferensi bahasa pada akun Instagram milik publik figur Cinta Laura Kiehl. Interferensi bahasa adalah sebuah fenomenaPenelitian ini membahas fenomena interferensi bahasa pada akun Instagram milik publik figur Cinta Laura Kiehl. Interferensi bahasa adalah sebuah fenomena
IPHORRIPHORR Background: Schizophrenia is a chronic mental disorder that significantly affects cognitive function and behavior, frequently characterized by prominentBackground: Schizophrenia is a chronic mental disorder that significantly affects cognitive function and behavior, frequently characterized by prominent
IPHORRIPHORR The population in this study was 81 adolescents aged 10-19 sampling. Data analysis used univariate and bivariate methods using dependent t-tests. Results:The population in this study was 81 adolescents aged 10-19 sampling. Data analysis used univariate and bivariate methods using dependent t-tests. Results:
MANDALANURSAMANDALANURSA Pendidikan bahasa Inggris era digital harus menekankan pengembangan kompetensi komunikatif, berpikir kritis, dan adaptabilitas terhadap perubahan teknologi,Pendidikan bahasa Inggris era digital harus menekankan pengembangan kompetensi komunikatif, berpikir kritis, dan adaptabilitas terhadap perubahan teknologi,
UTPUTP Penelitian ini bertujuan untuk mengetahui pengaruh bakteri selulolitik, rhizomonas, subtilis, dan bakteri rumen sapi terhadap hasil kompos dari limbahPenelitian ini bertujuan untuk mengetahui pengaruh bakteri selulolitik, rhizomonas, subtilis, dan bakteri rumen sapi terhadap hasil kompos dari limbah
LITPAMLITPAM Penelitian ini meneliti akuisisi bahasa pada siklus kedua pendidikan di Venezuela, yaitu tahap kritis bagi siswa berusia 12–15 tahun yang memperkuatPenelitian ini meneliti akuisisi bahasa pada siklus kedua pendidikan di Venezuela, yaitu tahap kritis bagi siswa berusia 12–15 tahun yang memperkuat
TUNASBANGSATUNASBANGSA Dengan penerapan salah satu Multi Criteria Decission Making (MCDM) diharapkan mampu mengatasi kendala tersebut. Metode Weighted Sum Model (WSM) merupakanDengan penerapan salah satu Multi Criteria Decission Making (MCDM) diharapkan mampu mengatasi kendala tersebut. Metode Weighted Sum Model (WSM) merupakan
AKRABJUARAAKRABJUARA Program Quiz Bahasa Inggris ini dirancang sedemikian rupa agar dapat memenuhi kebutuhan akan perangkat lunak yang ringan, sederhana, fleksibel dan dapatProgram Quiz Bahasa Inggris ini dirancang sedemikian rupa agar dapat memenuhi kebutuhan akan perangkat lunak yang ringan, sederhana, fleksibel dan dapat
Useful /
UMJ PremiumUMJ Premium Salah satu permasalahan yang sering terjadi yaitu waktu keterlambatan proyek disebabkan oleh kurang tepatnya perencanaan pada proyek yang mengakibatkanSalah satu permasalahan yang sering terjadi yaitu waktu keterlambatan proyek disebabkan oleh kurang tepatnya perencanaan pada proyek yang mengakibatkan
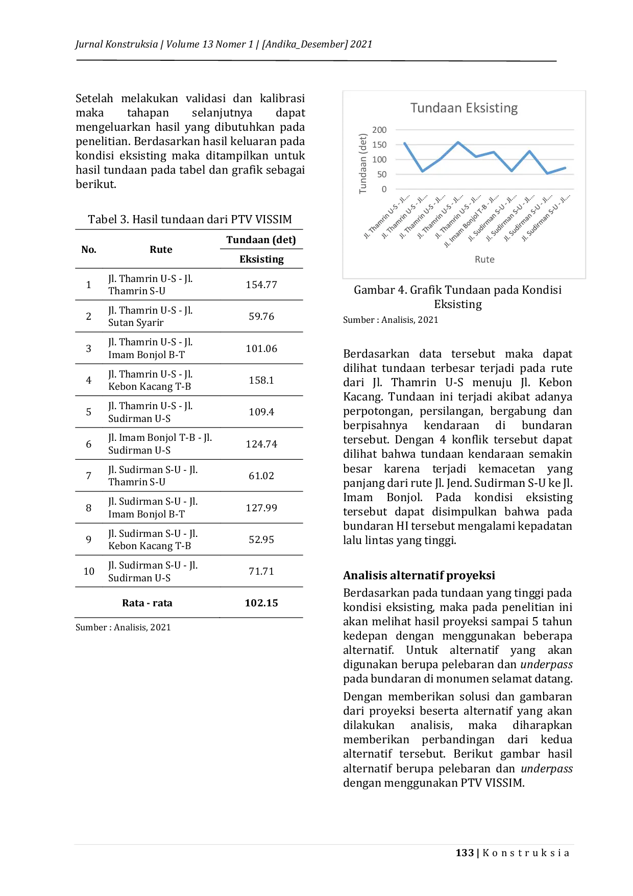
UMJ PremiumUMJ Premium Pada bundaran di monumen selamat datang didapat tundaan rata-rata sebesar 102,15 detik. Setelah menganalisa kondisi eksisting maka selanjutnya dilakukanPada bundaran di monumen selamat datang didapat tundaan rata-rata sebesar 102,15 detik. Setelah menganalisa kondisi eksisting maka selanjutnya dilakukan
UMJ PremiumUMJ Premium Riset ini merekomendasikan agar para subkontraktor waterproofing memberikan tambahan wawasan tentang one-sided contract kepada para karyawannya, baik diRiset ini merekomendasikan agar para subkontraktor waterproofing memberikan tambahan wawasan tentang one-sided contract kepada para karyawannya, baik di
TUNASBANGSATUNASBANGSA Perpustakaan menyediakan berbagai macam bahan pustaka seperti buku-buku, pelajaran, soal-soal pelajaran, maupun buku-buku kejuruan lainnya. Setelah penelitiPerpustakaan menyediakan berbagai macam bahan pustaka seperti buku-buku, pelajaran, soal-soal pelajaran, maupun buku-buku kejuruan lainnya. Setelah peneliti