PDGIPDGI
Jurnal Radiologi Dentomaksilofasial Indonesia (JRDI)Jurnal Radiologi Dentomaksilofasial Indonesia (JRDI)Cone-beam computed tomography (CBCT) is increasingly used in dentistry for diagnostic purposes. This study aims to evaluate the value of cone-beam CT (CBCT) in the diagnosis and orientation of impacted supernumerary teeth in the dental arches. Examination of the images from the CBCT shows an impacted supernumerary teeth in the area of teeth 44 and 46. A 50-year-old man came to the Udayana University Hospital with the chief complaint of missing bilateral posterior teeth of the mandible and wanted to make denture. Before the treatment begin, a panoramic radiographic examination was performed. The panoramic image shows an impacted supernumerary teeth on the inferior from lower right premolar. Due to the inability to determine the precise position of those teeth within the mandible and the possible vital structures surrounding, a CBCT imaging was taken. CBCT imaging two supernumerary teeth were found in the tooth area 44-45 and 45-46. apical of the two formed germ supernumerary crowns between teeth 44-45 inclined buccally & between teeth 45-46 lingually. CBCT is crucial for exact localization, for treatment planning, and for the surgical approach in cases of multiple supernumerary teeth.
Penemuan gigi supernumerari seringkali bersifat insidental dan dapat teridentifikasi pada radiografi panoramik.Posisi gigi supernumerari bervariasi di mandibel dan seringkali menyebabkan komplikasi pada dentisi permanen.Pencitraan CBCT menghasilkan gambaran tiga dimensi yang akurat dari gigi supernumerari, struktur dental dan tulang lokal, yang bermanfaat untuk diagnosis dan orientasi gigi supernumerari.CBCT sangat penting untuk lokalisasi yang tepat, perencanaan perawatan, dan pendekatan bedah pada kasus gigi supernumerari ganda.
Berdasarkan penelitian ini, beberapa saran penelitian lanjutan dapat diajukan. Pertama, penelitian lebih lanjut dapat dilakukan untuk mengidentifikasi faktor genetik dan lingkungan yang berkontribusi terhadap perkembangan gigi supernumerari, dengan fokus pada analisis pola ekspresi gen dan interaksi lingkungan yang memengaruhi diferensiasi sel dental. Kedua, penelitian prospektif dapat mengeksplorasi efektivitas berbagai teknik bedah untuk mengangkat gigi supernumerari, dengan membandingkan hasil jangka panjang dalam hal stabilitas gigi, penyembuhan jaringan, dan kepuasan pasien. Ketiga, penelitian kuantitatif dapat dilakukan untuk mengevaluasi dampak gigi supernumerari terhadap perkembangan dan erupsi gigi permanen, dengan menggunakan CBCT untuk memantau perubahan posisi dan orientasi gigi dari waktu ke waktu, sehingga dapat memberikan informasi yang lebih baik untuk perencanaan perawatan ortodonti.
- Incidental finding of impacted supernumerary teeth in cone-beam computed tomography 3D | Jurnal Radiologi... jurnal.pdgi.or.id/index.php/jrdi/article/view/1059Incidental finding of impacted supernumerary teeth in cone beam computed tomography 3D Jurnal Radiologi jurnal pdgi index php jrdi article view 1059
- DOI Name 10.32793 Values. doi name values index type timestamp data hs serv 43z crossref email support... doi.org/10.32793DOI Name 10 32793 Values doi name values index type timestamp data hs serv 43z crossref email support doi 10 32793
| File size | 483.58 KB |
| Pages | 4 |
| DMCA | Report |
Related /
ESDMESDM Di perairan Teluk Bone bagian utara teridentifikasi 97 spesies foraminifera bentik dan beberapa genera mendominasi titik-titik lokasi seperti Amphistegina,Di perairan Teluk Bone bagian utara teridentifikasi 97 spesies foraminifera bentik dan beberapa genera mendominasi titik-titik lokasi seperti Amphistegina,
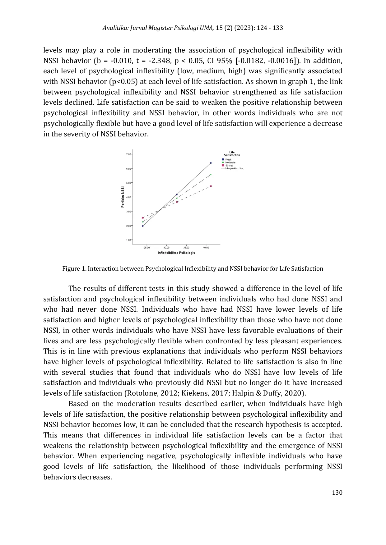
UMAUMA Analisis moderasi telah dilakukan menggunakan Hayes 4. Hasil analisis moderasi menunjukkan bahwa tingkat kepuasan hidup secara signifikan memoderasi hubunganAnalisis moderasi telah dilakukan menggunakan Hayes 4. Hasil analisis moderasi menunjukkan bahwa tingkat kepuasan hidup secara signifikan memoderasi hubungan
UMAUMA 3) Kekerasan seksual paling sering terjadi pada siang dan malam hari, dan kekerasan seksual berdasarkan penelitian ini lebih sering dilakukan oleh warga3) Kekerasan seksual paling sering terjadi pada siang dan malam hari, dan kekerasan seksual berdasarkan penelitian ini lebih sering dilakukan oleh warga
PDGIPDGI It details the journals scope, types of accepted articles, and submission guidelines. The journal aims to promote knowledge exchange in the field of dentomaxillofacialIt details the journals scope, types of accepted articles, and submission guidelines. The journal aims to promote knowledge exchange in the field of dentomaxillofacial
STIKESADVAITAMEDIKASTIKESADVAITAMEDIKA Saat ini ada banyak jenis fasilitas kesehatan yang dapat diakses oleh masyarakat, baik milik pemerintah maupun swasta. Namun, rumah sakit masih menjadiSaat ini ada banyak jenis fasilitas kesehatan yang dapat diakses oleh masyarakat, baik milik pemerintah maupun swasta. Namun, rumah sakit masih menjadi
STIKESADVAITAMEDIKASTIKESADVAITAMEDIKA Data ini menunjukkan bahwa 9,47% dari total seluruh spesies yang ada di seluruh dunia berada di Indonesia. Banyaknya jenis tumbuhan yang hidup di IndonesiaData ini menunjukkan bahwa 9,47% dari total seluruh spesies yang ada di seluruh dunia berada di Indonesia. Banyaknya jenis tumbuhan yang hidup di Indonesia
STIKESADVAITAMEDIKASTIKESADVAITAMEDIKA Berdasarkan data Riset Kesehatan Dasar (Riskesdas) tahun 2018, prevalensi tumor atau kanker di Indonesia adalah 1,4 per 1000 penduduk, insidens kankerBerdasarkan data Riset Kesehatan Dasar (Riskesdas) tahun 2018, prevalensi tumor atau kanker di Indonesia adalah 1,4 per 1000 penduduk, insidens kanker
STIKESADVAITAMEDIKASTIKESADVAITAMEDIKA Pemberian edukasi dengan metode ceramah, diskusi dan dengan media poster, leaflet dan audiovisual berjalan dengan lancar diikuti oleh 58 siswa-siswi danPemberian edukasi dengan metode ceramah, diskusi dan dengan media poster, leaflet dan audiovisual berjalan dengan lancar diikuti oleh 58 siswa-siswi dan
Useful /
PDGIPDGI Melalui radiografi panoramik, dapat ditentukan perbedaan MI antara daerah dentate dan edentulous pada wanita. Kehilangan gigi pada wanita dapat menyebabkanMelalui radiografi panoramik, dapat ditentukan perbedaan MI antara daerah dentate dan edentulous pada wanita. Kehilangan gigi pada wanita dapat menyebabkan
STIKESADVAITAMEDIKASTIKESADVAITAMEDIKA Pengukuran Kepatuhan minum obat dilakukan menggunakan kuesioner MMS-8 (Modified Morisky Adherence Scale-8) melalui google form dengan hasil sebelum menggunakanPengukuran Kepatuhan minum obat dilakukan menggunakan kuesioner MMS-8 (Modified Morisky Adherence Scale-8) melalui google form dengan hasil sebelum menggunakan
STIKESADVAITAMEDIKASTIKESADVAITAMEDIKA Pelaksanaan kegiatan pengabdian ini tidak ada hambatan dan telah terlaksana dengan baik dan lancar. Kesimpulan kegiatan ini yaitu seluruh peserta mengikutiPelaksanaan kegiatan pengabdian ini tidak ada hambatan dan telah terlaksana dengan baik dan lancar. Kesimpulan kegiatan ini yaitu seluruh peserta mengikuti
STIKESADVAITAMEDIKASTIKESADVAITAMEDIKA Evidence-based nursing yang diterapkan saat praktik residensi adalah tindakan edukasi pursed lib breathing pada pasien TB MDR yang mengalami dipsnea. KondisiEvidence-based nursing yang diterapkan saat praktik residensi adalah tindakan edukasi pursed lib breathing pada pasien TB MDR yang mengalami dipsnea. Kondisi