STIKMKSSTIKMKS
Jurnal MitrasehatJurnal MitrasehatAsi Eksklusif atau lebih tepatnya pemberian ASI secara ekslusif merupakan pemberian ASI tanpa tambahan cairan lain seperti susu formula, jeruk, madu, air teh, air putuh, dan tanpa pemberian makanan padat seperti pisang, pepaya, bubuk susu, biskuit, bubur nasi, dan tim selama 0-6 bulan. Tujuan Diketahuinya Gambaran Pengetahuan Ibu Hamil Tentang Pentingnya ASI Ekslusif Di Puskesmas Galesong. Jenis penelitian yang digunakan adalah penelitian deskriptif. Penelitian ini dilaksanakan pada tanggal 19 – 22 Juni 2017. Populasi dalam penelitian ini adalah semua Ibu hamil yang datang berkunjung dari bulan Januari-Mei Tahun 2017. Sampel dalam penelitian ini adalah Ibu Hamil yang datang berkunjung di Puskesmas Galesong sebanyak 30 orang. Teknik pengambilan sampel yaitu dengan sampling insidental, diambil berdasarkan Ibu Hamil yang datang berkunjung ke Puskesmas Galesong tahun 2017. Instrument penelitian dalam penelitian ini yaitu dengan menggunakan kuesioner. Berdasarkan hasil penelitian dapat disimpulkan bahwa mayoritas pengetahuan ibu hamil di Puskesmas Galesong Tahun 2017 yang berjumlah 30 orang diperoleh 16 orang atau 53,3% berada pada kategori berpengetahuan baik. Diharapkan peneliti selanjutnya harus menambah wawasan dan pengetahuan dalam bidang penelitian terutama mengenai Pentingnya ASI Ekslusif agar dapat mengembangkan Karya Tulis Ilmiah ini dengan lebih memperbanyak sampel serta menggunakan teknik sampel dan tempat penelitian yang berbeda.
Berdasarkan hasil penelitian yang telah dilakukan pada bulan Novemer 2017 mengenai gambaran pengetahuan ibu hamil tentang pentingnya ASI Eksklusif di Puskesmas Galesong Tahun 2017 dapat disimpulkan bahwa mayoritas pengetahuan ibu hamil di Puskesmas Galesong Tahun 2017 yang berjumlah 30 orang responden diperoleh 16 orang atau 53,3% berada pada kategori berpengetahuan baik, dan 14 orang kategori berada pada 46,7% atau berpengetahuan rendah.
Penelitian selanjutnya dapat fokus pada pengembangan strategi edukasi dan penyuluhan yang efektif untuk meningkatkan pengetahuan ibu hamil tentang pentingnya ASI eksklusif. Selain itu, studi komparatif antara berbagai metode penyuluhan dan konseling dapat dilakukan untuk menentukan pendekatan yang paling efektif dalam meningkatkan pengetahuan dan praktik ASI eksklusif. Penelitian juga dapat mengeksplorasi faktor-faktor sosial dan budaya yang mempengaruhi pengetahuan dan praktik ASI eksklusif di masyarakat, serta mengembangkan intervensi yang sesuai dengan konteks lokal.
| File size | 72.56 KB |
| Pages | 5 |
| Short Link | https://juris.id/p-2a8 |
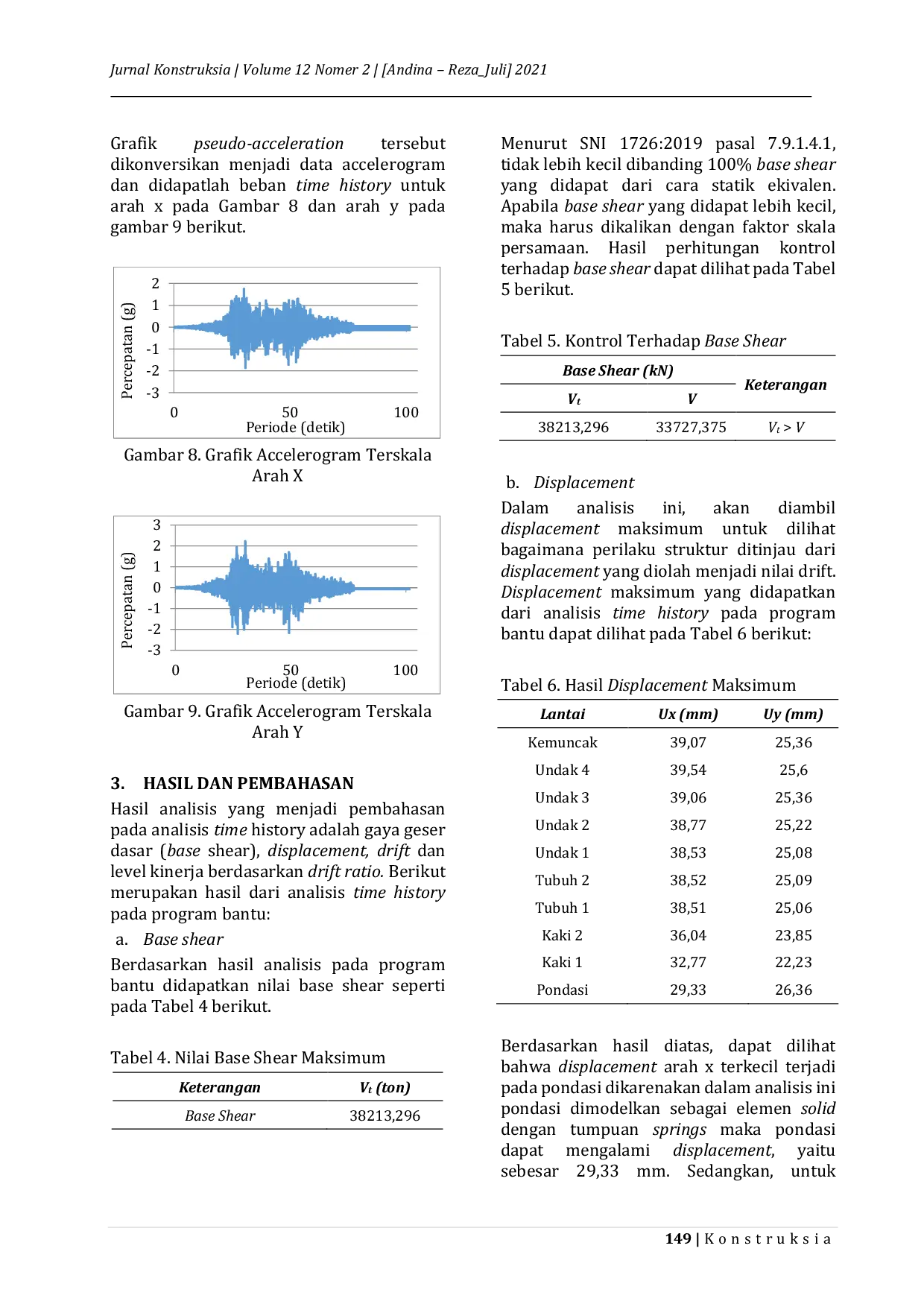
| Lookup Links | Google ScholarGoogle Scholar, Semantic ScholarSemantic Scholar, CORE.ac.ukCORE.ac.uk, WorldcatWorldcat, ZenodoZenodo, Research GateResearch Gate, Academia.eduAcademia.edu, OpenAlexOpenAlex, Hollis HarvardHollis Harvard |
| DMCA | Report |
Related /
STIKMKSSTIKMKS Anemia adalah kondisi kadar hemoglobin di bawah nilai normal, di Indonesia sebagian besar disebabkan kekurangan zat besi dari makanan sehari-hari. DampaknyaAnemia adalah kondisi kadar hemoglobin di bawah nilai normal, di Indonesia sebagian besar disebabkan kekurangan zat besi dari makanan sehari-hari. Dampaknya
STIKMKSSTIKMKS Banyak ibu dengan hiperemesis gravidarum mengalami gangguan nutrisi yang berpengaruh pada ibu dan bayinya. Hiperemesis gravidarum tidak hanya mengancamBanyak ibu dengan hiperemesis gravidarum mengalami gangguan nutrisi yang berpengaruh pada ibu dan bayinya. Hiperemesis gravidarum tidak hanya mengancam
UKRIDAUKRIDA Pada era milenium ini, ketergantungan individu pada gadget semakin meningkat. Penelitian menunjukkan bahwa aktivitas menggunakan gadget berpengaruh padaPada era milenium ini, ketergantungan individu pada gadget semakin meningkat. Penelitian menunjukkan bahwa aktivitas menggunakan gadget berpengaruh pada
STIKMKSSTIKMKS Hasil penelitian menunjukkan bahwa mutu pelayanan pasien rawat inap di Rumah Sakit Umum Daerah Kabupaten Pangkep ditinjau dari aspek ketepatan waktu, informasi,Hasil penelitian menunjukkan bahwa mutu pelayanan pasien rawat inap di Rumah Sakit Umum Daerah Kabupaten Pangkep ditinjau dari aspek ketepatan waktu, informasi,
STIKMKSSTIKMKS Pengetahuan sangat dibutuhkan oleh setiap ibu agar dapat memberikan ASI dengan menyusui bayinya. Seorang ibu mungkin akan mengalami masalah ketika menyusuiPengetahuan sangat dibutuhkan oleh setiap ibu agar dapat memberikan ASI dengan menyusui bayinya. Seorang ibu mungkin akan mengalami masalah ketika menyusui
RCSDEVELOPMENTRCSDEVELOPMENT Metode yang digunakan adalah deskriptif kualitatif dengan pendekatan partisipatif, melibatkan 70 balita, 3 ibu hamil, kader posyandu, tenaga kesehatan,Metode yang digunakan adalah deskriptif kualitatif dengan pendekatan partisipatif, melibatkan 70 balita, 3 ibu hamil, kader posyandu, tenaga kesehatan,
RCSDEVELOPMENTRCSDEVELOPMENT Disarankan agar tenaga kesehatan melakukan pendidikan kesehatan secara terus-menerus tentang pentingnya pemberian ASI eksklusif, mengingat masih ada ibuDisarankan agar tenaga kesehatan melakukan pendidikan kesehatan secara terus-menerus tentang pentingnya pemberian ASI eksklusif, mengingat masih ada ibu
UPERTISUPERTIS Dapat dilakukan penelitian untuk melihat dampak jangka panjang dari penyuluhan gizi, bagaimana transmisi pengetahuan dari ibu ke anggota keluarga lainDapat dilakukan penelitian untuk melihat dampak jangka panjang dari penyuluhan gizi, bagaimana transmisi pengetahuan dari ibu ke anggota keluarga lain
Useful /
UKRIDAUKRIDA Indonesia merupakan negara agraris yang menghasilkan aneka tanaman yang digunakan untuk pengobatan tradisional. Kita tidak boleh menutup mata akan keberadaanIndonesia merupakan negara agraris yang menghasilkan aneka tanaman yang digunakan untuk pengobatan tradisional. Kita tidak boleh menutup mata akan keberadaan
STIKMKSSTIKMKS Sampel 40 keluarga diambil secara accidental sampling. Hasil uji Chi Square (Fishers Exact Test p = 0,003) menunjukkan hubungan positif antara pengetahuanSampel 40 keluarga diambil secara accidental sampling. Hasil uji Chi Square (Fishers Exact Test p = 0,003) menunjukkan hubungan positif antara pengetahuan
RCSDEVELOPMENTRCSDEVELOPMENT Studi ini tidak hanya memperkenalkan fitur portal berita Nachannel. my.id tetapi juga menyoroti pentingnya literasi teknologi dalam pendidikan teknik.Studi ini tidak hanya memperkenalkan fitur portal berita Nachannel. my.id tetapi juga menyoroti pentingnya literasi teknologi dalam pendidikan teknik.
RCSDEVELOPMENTRCSDEVELOPMENT Hasilnya menunjukkan bahwa ibu sangat antusias dan aktif dalam bertanya, tingkat pengetahuan ibu nifas sebelum diberikan edukasi berada pada kategori cukup,Hasilnya menunjukkan bahwa ibu sangat antusias dan aktif dalam bertanya, tingkat pengetahuan ibu nifas sebelum diberikan edukasi berada pada kategori cukup,