STIKESMAYAPADASTIKESMAYAPADA
Nursing Journal: Jurnal Keperawatan MayapadaNursing Journal: Jurnal Keperawatan MayapadaPenelitian ini bertujuan mengkaji hubungan antara motivasi dan efikasi diri pada pasien diabetes melitus di Rumah Sakit Marinir Cilandak, mengingat pentingnya pemahaman ini untuk optimalisasi manajemen diri penyakit kronis tersebut. Metodologi yang digunakan adalah studi cross-sectional terhadap 35 pasien diabetes melitus, dengan data motivasi dan efikasi diri dikumpulkan melalui instrumen tervalidasi. Analisis statistik menggunakan uji korelasi Spearmans rho untuk mengevaluasi hubungan antar variabel. Hasil analisis menunjukkan korelasi positif yang sangat lemah (rs = 0,061) dan tidak signifikan (p = 0,729) antara motivasi dan efikasi diri, mengindikasikan tidak adanya hubungan yang berarti antara kedua variabel pada populasi yang diteliti. Kesimpulannya, tidak ditemukan hubungan signifikan antara motivasi dan efikasi diri pada pasien diabetes melitus di Rumah Sakit Marinir Cilandak. Temuan ini menekankan kompleksitas manajemen diabetes dan pentingnya pendekatan holistik dalam perawatan.
Penelitian ini tidak menemukan hubungan signifikan antara motivasi dan efikasi diri pada pasien diabetes melitus di Rumah Sakit Marinir Cilandak.Temuan ini menggarisbawahi kompleksitas pengelolaan diabetes dan kebutuhan akan pendekatan perawatan yang komprehensif.Penelitian lebih lanjut diperlukan untuk memahami dinamika psikologis dalam manajemen diabetes melitus secara lebih mendalam.
Berdasarkan hasil penelitian ini, beberapa arah penelitian lanjutan dapat dieksplorasi. Pertama, penelitian longitudinal dengan periode waktu yang lebih panjang diperlukan untuk mengamati perubahan motivasi dan efikasi diri pasien diabetes melitus seiring waktu dan dampaknya terhadap manajemen penyakit. Kedua, studi yang lebih mendalam dapat dilakukan untuk mengidentifikasi faktor-faktor lain yang mungkin memoderasi atau memediasi hubungan antara motivasi dan efikasi diri, seperti dukungan sosial, tingkat pendidikan, atau karakteristik demografis lainnya. Ketiga, penelitian intervensi yang dirancang untuk meningkatkan baik motivasi maupun efikasi diri pasien diabetes melitus secara bersamaan dapat dievaluasi efektivitasnya dalam meningkatkan perilaku perawatan diri dan hasil klinis. Penelitian-penelitian ini diharapkan dapat memberikan pemahaman yang lebih komprehensif tentang faktor-faktor psikologis yang memengaruhi manajemen diabetes melitus dan membantu mengembangkan strategi intervensi yang lebih efektif untuk meningkatkan kualitas hidup pasien.
| File size | 259.53 KB |
| Pages | 7 |
| DMCA | Report |
Related /
STIKESMAYAPADASTIKESMAYAPADA Penelitian ini menyimpulkan bahwa tingkat kepuasan pasien terhadap caring perawat di Rumah Sakit Marinir Cilandak sangat tinggi. Hal ini mengindikasikanPenelitian ini menyimpulkan bahwa tingkat kepuasan pasien terhadap caring perawat di Rumah Sakit Marinir Cilandak sangat tinggi. Hal ini mengindikasikan
STIKESMAYAPADASTIKESMAYAPADA Metodologi penelitian menggunakan desain pre‑post test untuk mengukur tingkat kecemasan sebelum dan sesudah pemberian terapi musik Mozart. Hasil penelitianMetodologi penelitian menggunakan desain pre‑post test untuk mengukur tingkat kecemasan sebelum dan sesudah pemberian terapi musik Mozart. Hasil penelitian
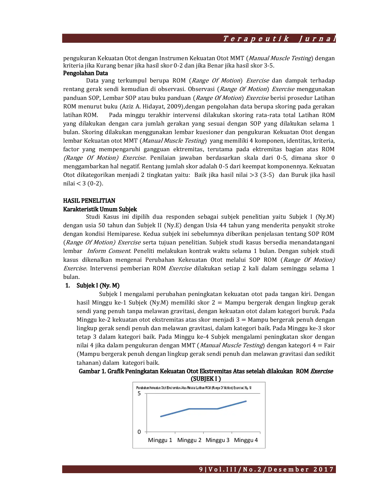
KARYAKESEHATANKARYAKESEHATAN Tujuan penelitian ini untuk mengetahui pengaruh ROM Exercise terhadap perubahan kekuatan otot ekstremitas atas pada pasien stroke. Desain penelitian iniTujuan penelitian ini untuk mengetahui pengaruh ROM Exercise terhadap perubahan kekuatan otot ekstremitas atas pada pasien stroke. Desain penelitian ini
AKPERGITAMATURAABADIAKPERGITAMATURAABADI Teknik pengumpulan data menggunakan observasi wawancara, dokumentasi, dan pengisian kuesioner dengan kategori ya dan tidak. Hasil penelitian menunjukkanTeknik pengumpulan data menggunakan observasi wawancara, dokumentasi, dan pengisian kuesioner dengan kategori ya dan tidak. Hasil penelitian menunjukkan
STIKES ISFISTIKES ISFI Penelitian ini menggunakan rancangan cross-sectional yang dilakukan di Poli Penyakit Dalam RSUD Sultan Suriansyah Banjarmasin pada bulan Agustus–SeptemberPenelitian ini menggunakan rancangan cross-sectional yang dilakukan di Poli Penyakit Dalam RSUD Sultan Suriansyah Banjarmasin pada bulan Agustus–September
MALAHAYATIMALAHAYATI Evaluasi terhadap pelaksanaan program menunjukkan hasil sebesar 73% yang masih jauh dari target yang telah ditetapkan sehingga perlu dilakukan perbaikanEvaluasi terhadap pelaksanaan program menunjukkan hasil sebesar 73% yang masih jauh dari target yang telah ditetapkan sehingga perlu dilakukan perbaikan
MALAHAYATIMALAHAYATI Studi ini menyimpulkan bahwa kesehatan finansial dan mutu layanan merupakan dua elemen yang saling memperkuat dalam membangun sistem pelayanan kesehatanStudi ini menyimpulkan bahwa kesehatan finansial dan mutu layanan merupakan dua elemen yang saling memperkuat dalam membangun sistem pelayanan kesehatan
IJRETINAIJRETINA Analisis demografis mengungkapkan dominasi pria (73,65%, 95% CI: 70,5-76,6%) dan populasi yang lebih muda (60,3% ≤60 tahun, 95% CI: 56,9-63,6%). KomorbiditasAnalisis demografis mengungkapkan dominasi pria (73,65%, 95% CI: 70,5-76,6%) dan populasi yang lebih muda (60,3% ≤60 tahun, 95% CI: 56,9-63,6%). Komorbiditas
Useful /
STIKESMAYAPADASTIKESMAYAPADA Penelitian ini menggunakan desain deskriptif kuantitatif dengan pendekatan cross-sectional. Sampel terdiri dari 100 pasien hipertensi yang dipilih secaraPenelitian ini menggunakan desain deskriptif kuantitatif dengan pendekatan cross-sectional. Sampel terdiri dari 100 pasien hipertensi yang dipilih secara
UMBERAUUMBERAU Digital Capability dan Digital Lliteracy secara bersama-sama berpengaruh signifikan terhadap kinerja UMKM di Tanjung Redeb. Hal ini dibuktikan dengan nilaiDigital Capability dan Digital Lliteracy secara bersama-sama berpengaruh signifikan terhadap kinerja UMKM di Tanjung Redeb. Hal ini dibuktikan dengan nilai
STIKES ISFISTIKES ISFI Berbagai penelitian menunjukkan bahwa kulit pisang kepok mengandung senyawa bioaktif yang berperan sebagai antioksidan, antibakteri, dan mempercepat prosesBerbagai penelitian menunjukkan bahwa kulit pisang kepok mengandung senyawa bioaktif yang berperan sebagai antioksidan, antibakteri, dan mempercepat proses
STIALANSTIALAN Penelitian ini bertujuan untuk mengetahui bagaimana implementasi konsep Smart City di Kota Bandung, kemudian merumuskan strategi implementasi yang dapatPenelitian ini bertujuan untuk mengetahui bagaimana implementasi konsep Smart City di Kota Bandung, kemudian merumuskan strategi implementasi yang dapat