PRISMAPRISMA
PRISMA FOODTECHPRISMA FOODTECHUpaya pengembangan pemanfaatan anuwun melalui teknologi pasca panen dalam bentuk produk olahan maupun pengawetan sangat dibutuhkan untuk memperpanjang masa simpan serta menambah nilai ekonomis dari tanaman umbi anuwun. Salah satu bentuk pemanfaatan teknologi pasca panen yaitu pengolahan menjadi tepung anuwun, dimana dalam penerapan teknologi tersebut membutuhkan proses pengeringan. Alat pengering energi matahari yang digunakan dalam penelitian ini dilengkapi dengan pengumpul panas (kolektor) dan cerobong untuk menambah dan mempercepat aliran udara panas yang masuk ke dalam ruang pengering, serta mencegah proses pengeringan yang lambat sehingga mengakibatkan udara pengering menjadi jenuh. Selain itu, alat ini juga dilengkapi dengan penambahan tungku pemanas, sehingga tipe ini sering disebut sebagai alat pengering energi matahari metode hibrid. Penelitian ini dilakukan untuk mengetahui Perubahan suhu udara pengering ditentukan dengan metode deskriptif dan dianalisa menggunakan grafik, Perubahan kadar air selama pengeringan, Perubahan laju pengeringan terhadap waktu, Perubahan laju pengeringan terhadap kadar air. Perubahan suhu pada saat proses pengeringan terjadi kelembaban udara ini dipengaruhi oleh suhu udara pada saat proses pengeringan berlangsung. Kelembapan udara menurun pada saat dipanaskan proses ini biasanya dipengaruhi oleh kondisi cuaca yang mempengaruhi kelembapan serta suhu. Pada proses pengeringan berlangsung dapat dilihat bahwa kadar air yang ada pada umbi anuwun akan mengalami penurunan dalam waktu pengeringan selama 7 jam. Semakin lama waktu pengeringan maka kadar air akan semakin berkurang. Karakteristik pengeringan dari umbi anuwun secara keseluruhan menunjukan laju pengeringan terjadi dalam dua periode, yaitu laju pengeringan konstan dan kaju pengeringan menurun. Laju pengeringan pada bahan di rak 2 lebih besar di bandingkan rak 1. Disebabkan karena bahan yang ada di rak 2 lebih cepat mendapatkan aliran udara pengering.
Perubahan suhu pada saat proses pengeringan terjadi kelembaban udara ini dipengaruhi oleh suhu udara pada saat proses pengeringan berlangsung.Kelembapan udara menurun pada saat dipanaskan proses ini biasanya dipengaruhi oleh kondisi cuaca yang mempengaruhi kelembapan serta suhu.Pada proses pengeringan berlangsung dapat dilihat bahwa kadar air yang ada pada umbi anuwun akan mengalami penurunan dalam waktu pengeringan selama 7 jam.Semakin lama waktu pengeringan maka kadar air akan semakin berkurang.Karakteristik pengeringan dari umbi anuwun secara keseluruhan menunjukan laju pengeringan terjadi dalam dua periode, yaitu laju pengeringan konstan dan kaju pengeringan menurun.Laju pengeringan pada bahan di rak 2 lebih besar di bandingkan rak 1.Disebabkan karena bahan yang ada di rak 2 lebih cepat mendapatkan aliran udara pengering.
Untuk penelitian lanjutan, dapat dilakukan studi komparatif antara metode pengeringan hibrid dengan metode pengeringan tradisional (penjemuran) untuk mengetahui perbedaan efisiensi dan kualitas produk yang dihasilkan. Selain itu, penelitian dapat fokus pada pengembangan teknologi pengeringan hibrid yang lebih efisien dan ramah lingkungan, dengan mempertimbangkan faktor-faktor seperti cuaca, kelembapan, dan suhu. Terakhir, studi tentang dampak penggunaan teknologi pengeringan hibrid terhadap kualitas gizi dan rasa produk anuwun juga dapat menjadi arah penelitian yang menarik.
| File size | 627.72 KB |
| Pages | 6 |
| Short Link | https://juris.id/p-30D |
| Lookup Links | Google ScholarGoogle Scholar, Semantic ScholarSemantic Scholar, CORE.ac.ukCORE.ac.uk, WorldcatWorldcat, ZenodoZenodo, Research GateResearch Gate, Academia.eduAcademia.edu, OpenAlexOpenAlex, Hollis HarvardHollis Harvard |
| DMCA | Report |
Related /
MEDIAPUBLIKASIMEDIAPUBLIKASI Salah satu pokok dalam Sabda Bahagia adalah “Berbahagialah mereka yang suci hatinya sebab mereka akan melihat Allah. Hal ini menjadi inspirasi bagi orangSalah satu pokok dalam Sabda Bahagia adalah “Berbahagialah mereka yang suci hatinya sebab mereka akan melihat Allah. Hal ini menjadi inspirasi bagi orang
MEDIAPUBLIKASIMEDIAPUBLIKASI Artinya, aplikasi telah siap untuk diimplementasikan. Metode ini bersifat unidireksional, yang berarti setiap tahapan harus diselesaikan sebelum memulaiArtinya, aplikasi telah siap untuk diimplementasikan. Metode ini bersifat unidireksional, yang berarti setiap tahapan harus diselesaikan sebelum memulai
UMBJMUMBJM ) menggunakan metode delignifikasi kimia. Kulit kelengkeng, sebagai limbah pertanian, dikenal mengandung kadar selulosa yang tinggi sehingga berpotensi) menggunakan metode delignifikasi kimia. Kulit kelengkeng, sebagai limbah pertanian, dikenal mengandung kadar selulosa yang tinggi sehingga berpotensi
IAFORISIAFORIS Sertifikasi halal memiliki dampak positif yang signifikan terhadap pertumbuhan ekonomi perempuan diantaranya. Peningkatan Akses ke Pasar Global, PeningkatanSertifikasi halal memiliki dampak positif yang signifikan terhadap pertumbuhan ekonomi perempuan diantaranya. Peningkatan Akses ke Pasar Global, Peningkatan
ARIMBIARIMBI (5) Bagaimana Pengaruh Kepercayaan Anggota, Kualitas Pelayanan, Kualitas Produk, dan Penggunaan Mobile Banking Terhadap Kepuasan Anggota di KSPPS BMT Mitra(5) Bagaimana Pengaruh Kepercayaan Anggota, Kualitas Pelayanan, Kualitas Produk, dan Penggunaan Mobile Banking Terhadap Kepuasan Anggota di KSPPS BMT Mitra
ARIMBIARIMBI Penelitian ini bertujuan untuk mengetahui pengaruh harga, kualitas produk dan citra merek terhadap keputusan pembelian kerupuk cassava pada UMKM BintangPenelitian ini bertujuan untuk mengetahui pengaruh harga, kualitas produk dan citra merek terhadap keputusan pembelian kerupuk cassava pada UMKM Bintang
SERAMBI MEKKAHSERAMBI MEKKAH Dapat disimpulkan bahwa asap cair tempurung kelapa dapat digunakan sebagai pengawet alami untuk bakso ikan tuna layu. Uji hedonik terbukti cepat, mudah,Dapat disimpulkan bahwa asap cair tempurung kelapa dapat digunakan sebagai pengawet alami untuk bakso ikan tuna layu. Uji hedonik terbukti cepat, mudah,
SERAMBI MEKKAHSERAMBI MEKKAH Data penelitian diperoleh melalui pertanyaan yang diajukan peneliti ke sumber asli dan observasi langsung di lokasi. Hasil penelitian menemukan bahwa pengendalianData penelitian diperoleh melalui pertanyaan yang diajukan peneliti ke sumber asli dan observasi langsung di lokasi. Hasil penelitian menemukan bahwa pengendalian
Useful /
POLTEKBAUBAUPOLTEKBAUBAU Menurut hasil uji Sobel, ROE tidak berfungsi sebagai variabel perantara dalam hubungan antara variabel independen dan PBV. Hasil Model Struktural I menunjukkanMenurut hasil uji Sobel, ROE tidak berfungsi sebagai variabel perantara dalam hubungan antara variabel independen dan PBV. Hasil Model Struktural I menunjukkan
UMNUMN Tulisan ini mencoba melihat apa yang membuat para tenaga akademik ini menjadi kaum precariat, dan bagaimana cara menavigasikan kerentanan yang mereka miliki.Tulisan ini mencoba melihat apa yang membuat para tenaga akademik ini menjadi kaum precariat, dan bagaimana cara menavigasikan kerentanan yang mereka miliki.
UMNUMN Penelitian ini bertujuan untuk mengetahui dampak media sosial terhadap pembentukan identitas sosial di Generasi Z, transformasi nilai-nilai sosial dalamPenelitian ini bertujuan untuk mengetahui dampak media sosial terhadap pembentukan identitas sosial di Generasi Z, transformasi nilai-nilai sosial dalam
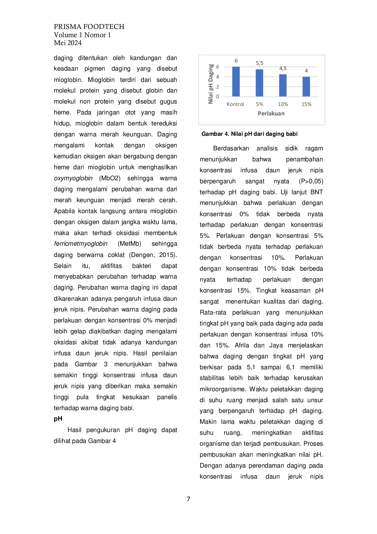
PRISMAPRISMA Hasil uji lanjut BNT menunjukkan bahwa daging yang direndam pada konsentrasi 15% lebih berpengaruh terhadap mutu fisik daging dengan pH 4, kadar air 64%,Hasil uji lanjut BNT menunjukkan bahwa daging yang direndam pada konsentrasi 15% lebih berpengaruh terhadap mutu fisik daging dengan pH 4, kadar air 64%,