Madani : Indonesian Journal of Civil Society Files
PNCPNC Kegiatan pelatihan agroforestri ini penting untuk mengoptimalkan penggunaan lahan dan meningkatkan pendapatan petani. Penerapan sistem agroforestri belumKegiatan pelatihan agroforestri ini penting untuk mengoptimalkan penggunaan lahan dan meningkatkan pendapatan petani. Penerapan sistem agroforestri belum
PNCPNC Metode pengabdian masyarakat ini dengan mengidentifikasi masalah, pengembangan website alamat Tubing Rahayu http://rahayurivertubing.com, dan evaluasiMetode pengabdian masyarakat ini dengan mengidentifikasi masalah, pengembangan website alamat Tubing Rahayu http://rahayurivertubing.com, dan evaluasi
PNCPNC Charu Dhatri sudah memiliki beberapa media sosial, namun penggunaannya belum maksimal karena keterbatasan informasi yang diperoleh mitra. Dalam pelaksanaanCharu Dhatri sudah memiliki beberapa media sosial, namun penggunaannya belum maksimal karena keterbatasan informasi yang diperoleh mitra. Dalam pelaksanaan
PNCPNC Selanjutnya, para peserta dapat mendemonstrasikan langsung cara pembuatan ecoprint dengan menggunakan teknik-teknik tertentu sehingga hasil yang didapatkanSelanjutnya, para peserta dapat mendemonstrasikan langsung cara pembuatan ecoprint dengan menggunakan teknik-teknik tertentu sehingga hasil yang didapatkan
PNCPNC Pelatihan kewirausahaan santri telah mendorong tumbuhnya kreasi produk-produk handmade yang di proses sedemikian rupa dari hasil daur ulang sampah plastik.Pelatihan kewirausahaan santri telah mendorong tumbuhnya kreasi produk-produk handmade yang di proses sedemikian rupa dari hasil daur ulang sampah plastik.
PNCPNC Program Studi Informatika Fakultas Teknik Universitas Sulawesi Barat melalui program pengabdian kepada masyarakat melaksanakan kegiatan pelatihan aplikasiProgram Studi Informatika Fakultas Teknik Universitas Sulawesi Barat melalui program pengabdian kepada masyarakat melaksanakan kegiatan pelatihan aplikasi
PNCPNC Dari 57 responden santri, predikat rata-rata meningkat dari 37,34 (kurang sekali) menjadi 86,97 (baik). Pelatihan Penghitungan dan Pengisian SPT PPh PasalDari 57 responden santri, predikat rata-rata meningkat dari 37,34 (kurang sekali) menjadi 86,97 (baik). Pelatihan Penghitungan dan Pengisian SPT PPh Pasal
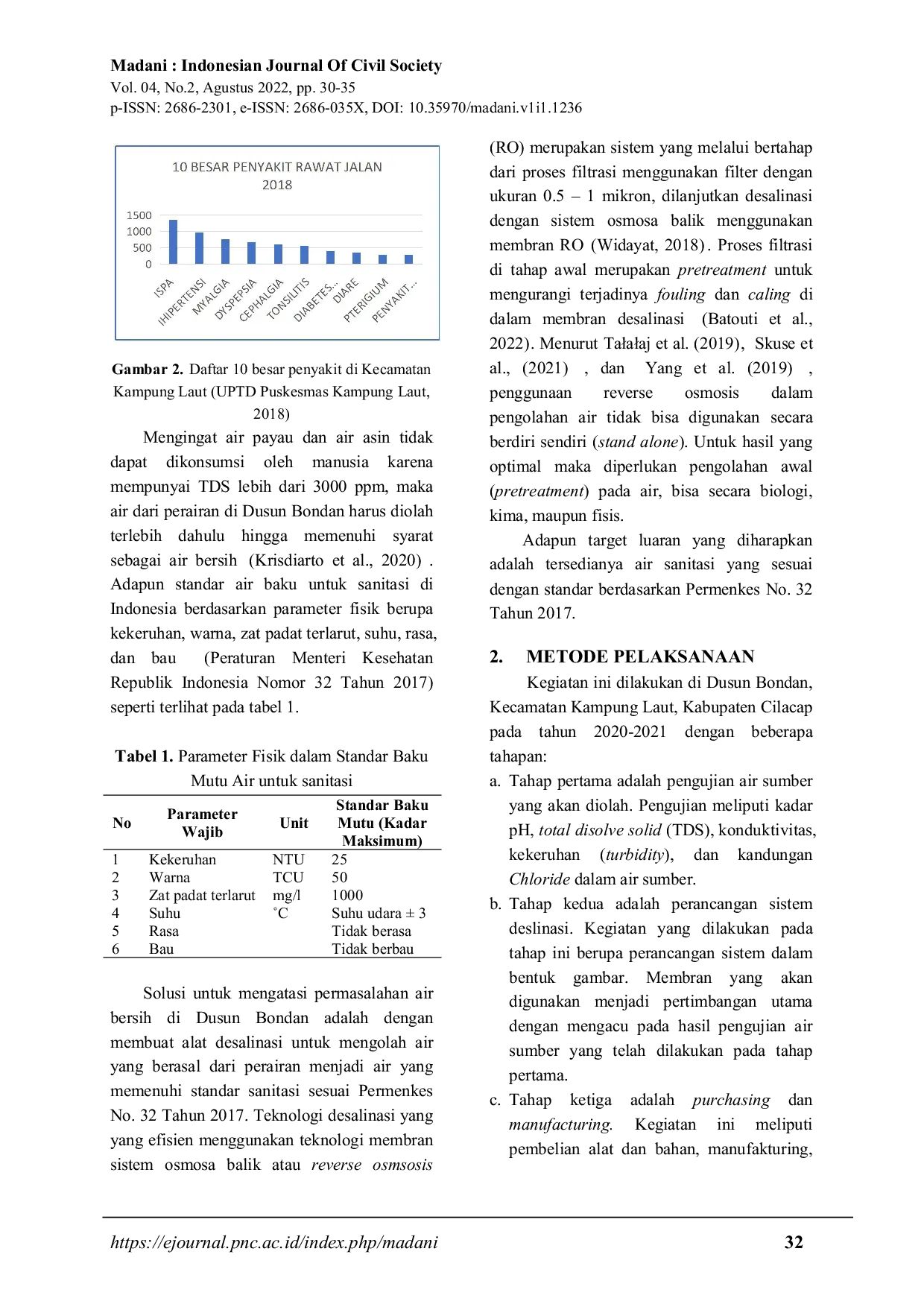
PNCPNC Untuk mengatasi permasalahan tersebut, maka dibuatlah sebuah sistem desalinasi yang mampu memproduksi air yang sesuai dengan standar berdasarkan PermenkesUntuk mengatasi permasalahan tersebut, maka dibuatlah sebuah sistem desalinasi yang mampu memproduksi air yang sesuai dengan standar berdasarkan Permenkes
PNCPNC Kegiatan pendampingan penguatan komite pembelajaran berhasil meningkatkan kemampuan dan pemahaman peserta mengenai refleksi dalam pembelajaran. IndikatorKegiatan pendampingan penguatan komite pembelajaran berhasil meningkatkan kemampuan dan pemahaman peserta mengenai refleksi dalam pembelajaran. Indikator
PNCPNC Harga jual ikan Julung – julung yang dijual mentah yaitu rata – rata, Rp.1000,-/4 ekor, artinya Rp 250,-/ekor. Harga jual ikan Julung – julung asapHarga jual ikan Julung – julung yang dijual mentah yaitu rata – rata, Rp.1000,-/4 ekor, artinya Rp 250,-/ekor. Harga jual ikan Julung – julung asap
PNCPNC Hasil pelaksanaan pelatihan memberikan dampak yang cukup baik dan berpengaruh terhadap tingkat pengetahuan para peserta kegiatan dalam mengelola jurnalHasil pelaksanaan pelatihan memberikan dampak yang cukup baik dan berpengaruh terhadap tingkat pengetahuan para peserta kegiatan dalam mengelola jurnal
PNCPNC Antusiasme peserta sangat tinggi, ditunjukkan dengan peningkatan hasil tes dari 100% predikat kurang pada awal pelatihan menjadi 83% predikat baik padaAntusiasme peserta sangat tinggi, ditunjukkan dengan peningkatan hasil tes dari 100% predikat kurang pada awal pelatihan menjadi 83% predikat baik pada
Latest /
STDIISSTDIIS Pada era globalisasi, eskalasi konflik keluarga terjadi secara signifikan dalam berbagai variasi dan dampak yang ditimbulkan, mulai dari perceraian, kekerasanPada era globalisasi, eskalasi konflik keluarga terjadi secara signifikan dalam berbagai variasi dan dampak yang ditimbulkan, mulai dari perceraian, kekerasan
WIDYADHARMAWIDYADHARMA This study analyzes the linguistic choices in both songs to uncover themes of empowerment, resilience, introspection, and emotional vulnerability throughThis study analyzes the linguistic choices in both songs to uncover themes of empowerment, resilience, introspection, and emotional vulnerability through
FMIPAUKITFMIPAUKIT Average at a concentration of 50% = 14.04 mm, 75% = 16.92 mm, 100% = 17.94 mm, which means that there is antibacterial activity of epazote leaf infusionAverage at a concentration of 50% = 14.04 mm, 75% = 16.92 mm, 100% = 17.94 mm, which means that there is antibacterial activity of epazote leaf infusion
UNSIKAUNSIKA Penelitian ini bertujuan untuk mengetahui Kabupaten Indramayu. Sasaran dari penelitian ini adalah siswa ekstrakurikuler SMA Negeri 1 Sindang. PopulasiPenelitian ini bertujuan untuk mengetahui Kabupaten Indramayu. Sasaran dari penelitian ini adalah siswa ekstrakurikuler SMA Negeri 1 Sindang. Populasi