UNTUNT
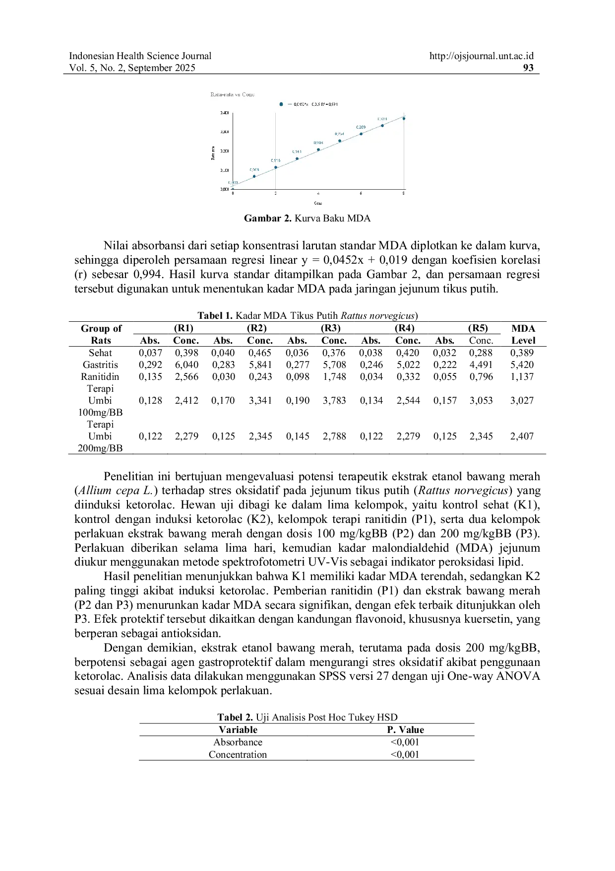
Indonesian Health Science JournalIndonesian Health Science JournalPenggunaan obat antiinflamasi non-steroid (NSAID) seperti ketorolac diketahui dapat menyebabkan stres oksidatif melalui peningkatan produksi radikal bebas, yang ditandai dengan peningkatan kadar malondialdehid (MDA). Penelitian ini bertujuan untuk mengevaluasi pengaruh ekstrak etanol umbi bawang merah (Allium cepa L.) terhadap kadar MDA pada jejunum tikus putih (Rattus norvegicus) yang diinduksi dengan ketorolac. Penelitian ini menggunakan desain true experimental dengan 25 ekor tikus putih jantan yang dibagi dalam 5 kelompok perlakuan: kontrol positif (sehat), kontrol negatif (ketorolac), kelompok P1 (ranitidin), dan dua kelompok dosis ekstrak umbi bawang merah (100 mg/kgBB dan 200 mg/kgBB). Diawali dengan validasi metode, hasil pengukuran kadar MDA menggunakan spektrofotometri UV-Vis menunjukkan bahwa ekstrak etanol umbi bawang merah mampu menurunkan kadar MDA secara signifikan dibandingkan kelompok yang hanya diinduksi ketorolac (p < 0,05), dengan dosis 200 mg/kgBB menunjukkan efektivitas yang lebih tinggi dibandingkan dosis 100 mg/kgBB. Temuan ini menunjukkan potensi ekstrak umbi bawang merah sebagai agen antioksidan alami dalam menurunkan kadar MDA pada jejunum akibat stres oksidatif yang diinduksi ketorolac.
Penelitian ini menunjukkan bahwa ekstrak umbi bawang merah (Allium cepa L.) memiliki potensi sebagai agen antioksidan dalam menurunkan kadar malondialdehid jejunum tikus putih (Rattus norvegicus).Pemberian ekstrak dosis 200 mg/kgBB menurunkan kadar MDA jejunum sekitar 55,6% dibandingkan kelompok kontrol negatif yang hanya mendapat ketorolac, dengan efek yang lebih besar dibandingkan dosis 100 mg/kgBB.Temuan ini mengindikasikan bahwa ekstrak bawang merah berpotensi dikembangkan sebagai alternatif terapi alami untuk mengurangi stres oksidatif akibat penggunaan ketorolac.
Penelitian selanjutnya sebaiknya meneliti perubahan histopatologis pada jaringan jejunum setelah pemberian ekstrak bawang merah, untuk mengaitkan penurunan kadar MDA dengan perbaikan struktur jaringan dan pemulihan fungsi mukosa. Selain itu, diperlukan studi dosis‑respons yang lebih luas dengan variasi dosis lebih rendah dan lebih tinggi serta durasi pemberian yang lebih lama, guna menentukan dosis efektif minimum serta menilai keamanan penggunaan jangka panjang pada hewan percobaan. Selanjutnya, efek ekstrak bawang merah terhadap biomarker inflamasi seperti TNF‑α, IL‑6, dan prostaglandin harus dievaluasi dan dibandingkan dengan obat antiinflamasi konvensional, termasuk penggunaan pada tikus betina untuk mengidentifikasi perbedaan respon antar jenis kelamin, sehingga hasil penelitian dapat lebih komprehensif dan aplikatif dalam pengembangan terapi alami anti‑inflamasi.
| File size | 329.15 KB |
| Pages | 8 |
| Short Link | https://juris.id/p-2Ba |
| Lookup Links | Google ScholarGoogle Scholar, Semantic ScholarSemantic Scholar, CORE.ac.ukCORE.ac.uk, WorldcatWorldcat, ZenodoZenodo, Research GateResearch Gate, Academia.eduAcademia.edu, OpenAlexOpenAlex, Hollis HarvardHollis Harvard |
| DMCA | Report |
Related /
HTPHTP Faktor keluarga seperti kepercayaan diri ibu, stres pengasuhan, dan kualitas hidup dapat meningkatkan perawatan BBLR, dengan pemberdayaan keluarga yangFaktor keluarga seperti kepercayaan diri ibu, stres pengasuhan, dan kualitas hidup dapat meningkatkan perawatan BBLR, dengan pemberdayaan keluarga yang
IPBIPB 3 m, sementara abrasi terjadi di 2 lokasi dengan perubahan rata-rata Sabak Timur -41. 8 m dan Sadu -36.55 m. Di 6 lokasi yang mengalami akresi, kerapatan3 m, sementara abrasi terjadi di 2 lokasi dengan perubahan rata-rata Sabak Timur -41. 8 m dan Sadu -36.55 m. Di 6 lokasi yang mengalami akresi, kerapatan
UncenUncen Hasil penelitian menunjukkan bahwa terdapat 10 spesies mangrove yang didominasi oleh Rhizophora apiculata, R. mucronata, dan R. stylosa. R. mucronata mendominasiHasil penelitian menunjukkan bahwa terdapat 10 spesies mangrove yang didominasi oleh Rhizophora apiculata, R. mucronata, dan R. stylosa. R. mucronata mendominasi
RCSDEVELOPMENTRCSDEVELOPMENT Hasil kegiatan ini adalah program di bidang pendidikan meliputi kelas calistung & literasi alquran, program di bidang lingkungan meliputi pengadaan tempatHasil kegiatan ini adalah program di bidang pendidikan meliputi kelas calistung & literasi alquran, program di bidang lingkungan meliputi pengadaan tempat
IPBIPB Analisis leverage mengidentifikasi atribut dengan nilai RMS tinggi, yang memberikan wawasan untuk pengelolaan ekosistem yang lebih optimal serta mendukungAnalisis leverage mengidentifikasi atribut dengan nilai RMS tinggi, yang memberikan wawasan untuk pengelolaan ekosistem yang lebih optimal serta mendukung
UBUB Materi ini diberikan kepada mitra pelaku usaha perikanan karena berpotensi mendukung pelaku usaha perikanan yang lebih ramah lingkungan. Hasil evaluasiMateri ini diberikan kepada mitra pelaku usaha perikanan karena berpotensi mendukung pelaku usaha perikanan yang lebih ramah lingkungan. Hasil evaluasi
KEMENSOSKEMENSOS Mayoritas nelayan pesisir berada pada usia produktif tua dengan tingkat pendidikan rendah dan tanggungan keluarga sedang. Nelayan buruh mendominasi kelompokMayoritas nelayan pesisir berada pada usia produktif tua dengan tingkat pendidikan rendah dan tanggungan keluarga sedang. Nelayan buruh mendominasi kelompok
USDUSD Keterlibatan seniman, orang tua, tokoh adat, dan sesepuh dalam proses pembelajaran membuat kegiatan menjadi menarik, memperkaya kesadaran budaya, sertaKeterlibatan seniman, orang tua, tokoh adat, dan sesepuh dalam proses pembelajaran membuat kegiatan menjadi menarik, memperkaya kesadaran budaya, serta
Useful /
UNTUNT 05). Nelayan memiliki skor kualitas hidup (QOL) keseluruhan tertinggi, menunjukkan bahwa kepuasan kerja memainkan peran penting dalam kesejahteraan lansia.05). Nelayan memiliki skor kualitas hidup (QOL) keseluruhan tertinggi, menunjukkan bahwa kepuasan kerja memainkan peran penting dalam kesejahteraan lansia.
IPBIPB Analisis LSI menunjukkan adanya trade‑off spasial: keberlanjutan lingkungan menurun terutama di area pengembangan utara, sedangkan dimensi sosial danAnalisis LSI menunjukkan adanya trade‑off spasial: keberlanjutan lingkungan menurun terutama di area pengembangan utara, sedangkan dimensi sosial dan
ATIDEWANTARAATIDEWANTARA Hasil pemeriksaan kesehatan gratis menunjukkan adanya masyarakat yang mengalami gangguan kesehatan, di antaranya 56 orang menderita penyakit rheumatik,Hasil pemeriksaan kesehatan gratis menunjukkan adanya masyarakat yang mengalami gangguan kesehatan, di antaranya 56 orang menderita penyakit rheumatik,
ATIDEWANTARAATIDEWANTARA Penggunaan strategi inovasi memungkinkan kelompok sadar wisata menjadi pionir dalam pembaruan sektor pariwisata desa Lohia, khususnya di Pantai NapabalePenggunaan strategi inovasi memungkinkan kelompok sadar wisata menjadi pionir dalam pembaruan sektor pariwisata desa Lohia, khususnya di Pantai Napabale