UBTUBT
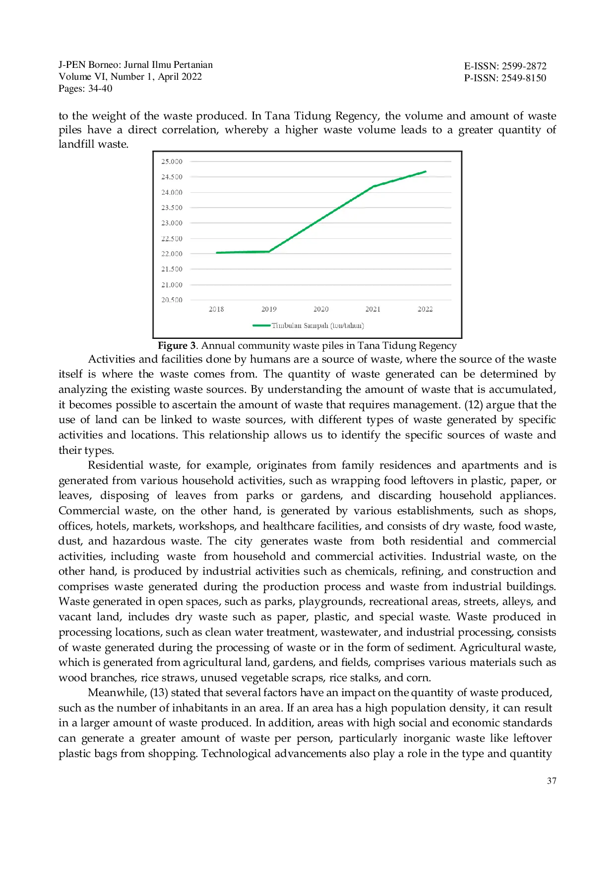
J-PEN Borneo : Jurnal Ilmu PertanianJ-PEN Borneo : Jurnal Ilmu PertanianKabupaten Tana Tidung merupakan daerah pertanian yang didominasi, dengan sekitar 61,51 persen dari luas total wilayah kabupaten dialokasikan untuk tujuan pertanian, yang berjumlah 297.028,7 hektar. Meskipun memiliki FDS (Tempat Penampungan Akhir) yang membentang kurang lebih empat hektar dan dikelola melalui sistem sanitary landfill, daerah ini masih menggunakan sistem pembuangan sampah terbuka. Limbah organik yang ditemukan di FDS dapat diubah menjadi kompos, yang dapat dimanfaatkan untuk memenuhi kebutuhan pupuk petani di Kabupaten Tana Tidung. Tujuan utama penelitian ini adalah untuk menentukan potensi produksi kompos di Kabupaten Tana Tidung. Penelitian dilakukan dari Mei 2022 hingga Januari 2023, hanya mengandalkan data sekunder. Data sekunder yang digunakan adalah data timbunan sampah dari lima tahun terakhir, yang diperoleh dari Bidang Sampah Dinas Lingkungan Hidup Kabupaten Tana Tidung. Data tentang sampah disajikan dalam bentuk grafik, sementara analisis proyeksi data kompos menggunakan ketentuan Zulfinar dan Sembiring (2015) dalam tiga skenario: pesimis, moderat, dan optimis. Berdasarkan temuan penelitian, volume sampah yang dihasilkan di Kabupaten Tana Tidung pada tahun 2022 akan berjumlah 24.675.825 liter, dengan total penampungan 24.676 ton. Dalam skenario pesimis, tidak akan terjadi pengolahan sampah menjadi kompos pada tahun 2022, sedangkan skenario moderat memperkirakan 17.273 ton, dan skenario optimis memperkirakan 19.741 ton.
Berdasarkan penelitian ini, dapat disimpulkan bahwa jumlah dan volume timbunan sampah terus meningkat selama lima tahun terakhir.Pada tahun 2022, total volume sampah di Kabupaten Tana Tidung adalah 24.825 liter, dengan timbunan sampah yang sesuai sebesar 24.Pengolahan sampah menjadi kompos pada tahun 2022, menurut skenario pesimis, menghasilkan nol ton, sedangkan skenario moderat menghasilkan 17.273 ton, dan skenario optimis menghasilkan 19.Kompos yang cukup dapat digunakan oleh petani untuk memenuhi kebutuhan nutrisi tanaman.
Berdasarkan hasil penelitian, terdapat beberapa saran penelitian lanjutan yang dapat dikembangkan untuk mendukung pengelolaan sampah dan peningkatan produktivitas pertanian di Kabupaten Tana Tidung. Pertama, perlu dilakukan penelitian lebih lanjut mengenai efektivitas berbagai metode pengomposan, seperti pengomposan aerobik dan anaerobik, untuk menentukan metode yang paling sesuai dengan kondisi lingkungan dan karakteristik sampah di Kabupaten Tana Tidung. Hal ini penting untuk memastikan kualitas kompos yang dihasilkan optimal dan dapat memenuhi kebutuhan pupuk petani. Kedua, penelitian tentang pengaruh kompos terhadap pertumbuhan dan hasil tanaman lokal di Kabupaten Tana Tidung sangat diperlukan. Dengan mengetahui jenis tanaman yang paling responsif terhadap penggunaan kompos, petani dapat mengoptimalkan pemanfaatan kompos untuk meningkatkan produktivitas pertanian. Ketiga, penelitian mengenai potensi pemanfaatan limbah pertanian sebagai bahan baku kompos juga perlu dilakukan. Dengan memanfaatkan limbah pertanian, tidak hanya mengurangi volume sampah, tetapi juga menghasilkan pupuk organik yang berkelanjutan dan ramah lingkungan. Ketiga saran ini saling terkait dan dapat memberikan kontribusi signifikan dalam mewujudkan pengelolaan sampah yang berkelanjutan dan meningkatkan ketahanan pangan di Kabupaten Tana Tidung.
| File size | 196.89 KB |
| Pages | 7 |
| DMCA | Report |
Related /
UBTUBT Repetitive and manual deployment processes will be very vulnerable to human errors which will have an impact on downtime. On Informatics research websiteRepetitive and manual deployment processes will be very vulnerable to human errors which will have an impact on downtime. On Informatics research website
IIESECOREIIESECORE Selain itu, faktor eksternal seperti banjir musiman atau perubahan dalam program makan sekolah pemerintah dapat mempengaruhi pola produksi sampah dan tidakSelain itu, faktor eksternal seperti banjir musiman atau perubahan dalam program makan sekolah pemerintah dapat mempengaruhi pola produksi sampah dan tidak
UBTUBT Sedangkan untuk tegangan dan faktor daya terjadi kenaikan yang cukup signifikan setelah dilakukan rekonfigurasi jaringan. Rekonfigurasi jaringan pada sistemSedangkan untuk tegangan dan faktor daya terjadi kenaikan yang cukup signifikan setelah dilakukan rekonfigurasi jaringan. Rekonfigurasi jaringan pada sistem
UBTUBT Peralatan listrik dengan tenaga penggerak motor universal umumnya dilengkapi dengan pengaturan kecepatan yang terbatas pada beberapa pilihan level tertentu.Peralatan listrik dengan tenaga penggerak motor universal umumnya dilengkapi dengan pengaturan kecepatan yang terbatas pada beberapa pilihan level tertentu.
UBTUBT Sosialisasi teknologi pengembangan diversifikasi usaha budidaya kepiting bakau. Pada Desa Liagu, sistem budidaya yang ada hanya kegiatan pembesaran kepitingSosialisasi teknologi pengembangan diversifikasi usaha budidaya kepiting bakau. Pada Desa Liagu, sistem budidaya yang ada hanya kegiatan pembesaran kepiting
UBTUBT Masyarakat mitra pada PKM ini adalah kelompok pedagang tipa-tipa yang ada di Desa Marom, Kecamaan Uluan, Kabupaen Toba Samosir. Pendampingan telah diakukanMasyarakat mitra pada PKM ini adalah kelompok pedagang tipa-tipa yang ada di Desa Marom, Kecamaan Uluan, Kabupaen Toba Samosir. Pendampingan telah diakukan
UBTUBT Pelatihan ini memberikan solusi terhadap keterbatasan benih ikan lele yang sebelumnya hanya bergantung pada musim pemijahan alami. Dengan teknologi ini,Pelatihan ini memberikan solusi terhadap keterbatasan benih ikan lele yang sebelumnya hanya bergantung pada musim pemijahan alami. Dengan teknologi ini,
UBTUBT Hasil pelaksanaan pengabdian menunjukkan bahwa guru-guru merasa sangat senang dan terbantu oleh pelaksanaan kegiatan pengabdian serta mengalami kesulitanHasil pelaksanaan pengabdian menunjukkan bahwa guru-guru merasa sangat senang dan terbantu oleh pelaksanaan kegiatan pengabdian serta mengalami kesulitan
Useful /
STAIMADIUNSTAIMADIUN Penerapan ini mampu meningkatkan pemahaman bacaan siswa secara mendalam dan kontekstual. Namun, beberapa kendala ditemukan, seperti keterbatasan waktuPenerapan ini mampu meningkatkan pemahaman bacaan siswa secara mendalam dan kontekstual. Namun, beberapa kendala ditemukan, seperti keterbatasan waktu
UBTUBT Hasil advokasi diharapkan menjadi sumber data dan informasi untuk strategi mitigasi, penguatan pemerintahan daerah, kesiapsiagaan desa, dan keberlangsunganHasil advokasi diharapkan menjadi sumber data dan informasi untuk strategi mitigasi, penguatan pemerintahan daerah, kesiapsiagaan desa, dan keberlangsungan
UBTUBT Guru perlu melakukan penyesuaian dalam kegiatan belajar mengajar, mulai dari tahap perencanaan hingga evaluasi pembelajaran. Salah satu solusi sebagaiGuru perlu melakukan penyesuaian dalam kegiatan belajar mengajar, mulai dari tahap perencanaan hingga evaluasi pembelajaran. Salah satu solusi sebagai
UBTUBT Guru dan siswa tetap dapat berinteraksi dan mengomunikasikan diri dalam kelas virtual. Guru menghadirkan materi dan memberikan tugas sesuai jadwal yangGuru dan siswa tetap dapat berinteraksi dan mengomunikasikan diri dalam kelas virtual. Guru menghadirkan materi dan memberikan tugas sesuai jadwal yang