JURNALSYNTAXADMIRATIONJURNALSYNTAXADMIRATION
Jurnal Syntax AdmirationJurnal Syntax AdmirationPenelitian ini bertujuan untuk menganalisis dan mengembangkan strategi pemasaran digital yang efektif untuk Apotek Pendidikan Sekolah Farmasi ITB. Penelitian ini menggunakan analisis IFAS dan EFAS untuk mengidentifikasi faktor internal dan eksternal, serta strategi pemasaran yang tepat. Selain analisis deskriptif kualitatif, penelitian ini juga memanfaatkan analisis SWOT, Diagram Cartecius SWOT, dan Metrik SWOT sebagai solusi. Hasil penelitian menunjukkan bahwa apotek memiliki kemampuan yang sangat baik dalam memanfaatkan peluang eksternal. Diagram Cartecius SWOT menunjukkan posisi yang sangat menguntungkan untuk tumbuh pesat, dengan koordinat (X: 0,25; Y: 0,35) yang mencerminkan kekuatan internal dan peluang eksternal yang besar. Matriks SWOT merekomendasikan strategi SO, yang selaras dengan strategi Agresif pada diagram Cartecius.
Berdasarkan Analisis Matriks SWOT, strategi SO (Strengths-Opportunities) adalah strategi yang paling tepat untuk diterapkan pada Apotek Pendidikan Sekolah Farmasi ITB.Strategi ini berfokus pada pemanfaatan kekuatan internal untuk memaksimalkan peluang eksternal, dengan memperkuat citra merek dan menyampaikan pesan yang relevan melalui edukasi obat.Hasil analisis ini sejalan dengan diagram SWOT Cartesian yang menunjukkan posisi Growth, yaitu potensi pertumbuhan yang tinggi bagi apotek.Apotek Pendidikan Sekolah Farmasi ITB berada pada posisi yang sangat menguntungkan untuk tumbuh pesat, dengan koordinat (X.0,35) yang mencerminkan kekuatan internal dan peluang eksternal yang besar.Analisis IFAS dan EFAS menunjukkan posisi internal yang kuat dan kemampuan yang baik dalam memanfaatkan peluang eksternal.
Untuk penelitian lanjutan, disarankan untuk fokus pada pengembangan divisi pemasaran khusus yang dapat meningkatkan efektivitas strategi pemasaran digital, terutama melalui platform media sosial. Peningkatan fasilitas, penyediaan informasi lokasi yang lengkap, dan pemanfaatan media sosial sebagai saluran promosi utama dapat mempercepat pertumbuhan apotek. Selain itu, penting untuk terus mengoptimalkan dan menerapkan strategi yang ada secara konsisten agar apotek dapat mencapai pertumbuhan yang signifikan. Penelitian selanjutnya juga dapat mengeksplorasi strategi pemasaran melalui platform Instagram, yang telah terbukti meningkatkan penjualan secara signifikan.
| File size | 261.03 KB |
| Pages | 10 |
| DMCA | Report |
Related /
TRILOGITRILOGI Wawasan ini memberikan panduan berharga bagi perusahaan fintech untuk mengembangkan dan menerapkan strategi komunikasi pemasaran yang efektif di Instagram,Wawasan ini memberikan panduan berharga bagi perusahaan fintech untuk mengembangkan dan menerapkan strategi komunikasi pemasaran yang efektif di Instagram,
ATIDEWANTARAATIDEWANTARA Kegiatan mencakup pelatihan teknik pengemasan higienis, desain label, serta optimalisasi media sosial seperti WhatsApp Business dan Facebook Marketplace.Kegiatan mencakup pelatihan teknik pengemasan higienis, desain label, serta optimalisasi media sosial seperti WhatsApp Business dan Facebook Marketplace.
JURNALSYNTAXADMIRATIONJURNALSYNTAXADMIRATION Penelitian ini bertujuan untuk menganalisis efektivitas metode bermain tepuk pada kompetensi guru, perkembangan konsentrasi belajar siswa, peningkatanPenelitian ini bertujuan untuk menganalisis efektivitas metode bermain tepuk pada kompetensi guru, perkembangan konsentrasi belajar siswa, peningkatan
JURNALSYNTAXADMIRATIONJURNALSYNTAXADMIRATION Namun, minat masyarakat terhadap wakaf tunai masih tergolong rendah dibandingkan wakaf tradisional. Penelitian ini bertujuan untuk menganalisis pengaruhNamun, minat masyarakat terhadap wakaf tunai masih tergolong rendah dibandingkan wakaf tradisional. Penelitian ini bertujuan untuk menganalisis pengaruh
JURNALSYNTAXADMIRATIONJURNALSYNTAXADMIRATION ADMM-Plus juga menghadapi tantangan dalam memperluas keanggotaan, yang membutuhkan pertimbangan geopolitik yang matang. Kesimpulannya, Indonesia memilikiADMM-Plus juga menghadapi tantangan dalam memperluas keanggotaan, yang membutuhkan pertimbangan geopolitik yang matang. Kesimpulannya, Indonesia memiliki
JURNALSYNTAXADMIRATIONJURNALSYNTAXADMIRATION Artikel ini akan membahas bagaimana Perang Dagang China-AS dapat mempengaruhi ekonomi Indonesia, yang dapat membawa peluang atau masalah. Penelitian dalamArtikel ini akan membahas bagaimana Perang Dagang China-AS dapat mempengaruhi ekonomi Indonesia, yang dapat membawa peluang atau masalah. Penelitian dalam
JURNALSYNTAXADMIRATIONJURNALSYNTAXADMIRATION Untuk depresi, 66,8% tidak merasa hidupnya tidak berarti, dengan depresi normal sebagai yang tertinggi (50,6%). Faktor penyebab stres meliputi tugas pembelajaranUntuk depresi, 66,8% tidak merasa hidupnya tidak berarti, dengan depresi normal sebagai yang tertinggi (50,6%). Faktor penyebab stres meliputi tugas pembelajaran
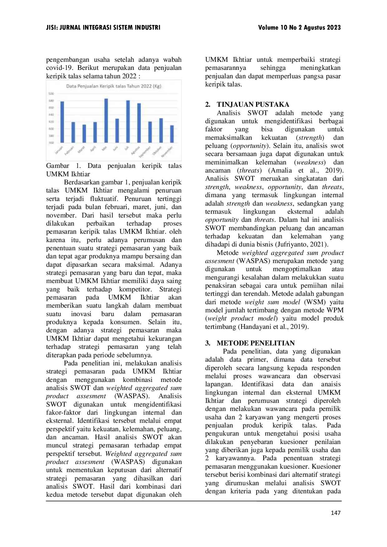
UMJ PremiumUMJ Premium Oleh karena itu dalam penelitian bertujuan untuk melakukan perumusan dan penentuan strategi pemasaran yang tepat pada UMKM Ikhtiar. Pada penelitian menggunakanOleh karena itu dalam penelitian bertujuan untuk melakukan perumusan dan penentuan strategi pemasaran yang tepat pada UMKM Ikhtiar. Pada penelitian menggunakan
Useful /
ATIDEWANTARAATIDEWANTARA Hal yang baru dari kegiatan ini adalah pendekatan pelatihan yang tidak hanya bersifat teoritis, tetapi juga dilengkapi dengan pendampingan praktik langsungHal yang baru dari kegiatan ini adalah pendekatan pelatihan yang tidak hanya bersifat teoritis, tetapi juga dilengkapi dengan pendampingan praktik langsung
OJS INDONESIAOJS INDONESIA Penelitian ini menyoroti pentingnya pemahaman dan penanganan kasus pemikiran bunuh diri di kalangan remaja. Faktor krusial seperti kurangnya dukungan keluargaPenelitian ini menyoroti pentingnya pemahaman dan penanganan kasus pemikiran bunuh diri di kalangan remaja. Faktor krusial seperti kurangnya dukungan keluarga
JURNALSYNTAXADMIRATIONJURNALSYNTAXADMIRATION Dengan cadangan bijih nikel terbesar di dunia, Indonesia memiliki peluang besar untuk menjadi pemain utama dalam industri nikel global, khususnya untukDengan cadangan bijih nikel terbesar di dunia, Indonesia memiliki peluang besar untuk menjadi pemain utama dalam industri nikel global, khususnya untuk
JURNALSYNTAXADMIRATIONJURNALSYNTAXADMIRATION Hasil evaluasi menunjukkan bahwa media pembelajaran ini memiliki tingkat kelayakan yang baik, dengan penilaian ahli media mencapai 73% (kategori “Layak)Hasil evaluasi menunjukkan bahwa media pembelajaran ini memiliki tingkat kelayakan yang baik, dengan penilaian ahli media mencapai 73% (kategori “Layak)