2025 / Yearly Files
UMMUMM Oleh karena itu, penelitian ini menyimpulkan bahwa Indonesia memerlukan reformasi sistem kepenjaraan dengan mengadopsi praktik terbaik dari Norwegia danOleh karena itu, penelitian ini menyimpulkan bahwa Indonesia memerlukan reformasi sistem kepenjaraan dengan mengadopsi praktik terbaik dari Norwegia dan
UNIMUNIM Mesin produksi menggunakan mesin merk AISA buatan swiss dimana ada 3 sumber energi yang diperlukan yaitu energi listrik, udara bertekanan dan water cooling.Mesin produksi menggunakan mesin merk AISA buatan swiss dimana ada 3 sumber energi yang diperlukan yaitu energi listrik, udara bertekanan dan water cooling.
STPMATARAMSTPMATARAM Desa Nglanggeran dan Pentingsari merupakan contoh desa wisata di Daerah Istimewa Yogyakarta yang berhasil menerapkan pemberdayaan masyarakat. PenelitianDesa Nglanggeran dan Pentingsari merupakan contoh desa wisata di Daerah Istimewa Yogyakarta yang berhasil menerapkan pemberdayaan masyarakat. Penelitian
UNIRAUNIRA Kegiatan pengabdian masyarakat ini bertujuan untuk meningkatkan pemahaman guru tentang pembelajaran mendalam dan kurikulum berbasis cinta, serta terampilKegiatan pengabdian masyarakat ini bertujuan untuk meningkatkan pemahaman guru tentang pembelajaran mendalam dan kurikulum berbasis cinta, serta terampil
PUBLIKASIINDONESIAPUBLIKASIINDONESIA Oleh karena itu, disarankan bagi tenaga kesehatan untuk meningkatkan skrining dan monitoring prostat pada pria berusia di atas 50 tahun dengan komorbiditasOleh karena itu, disarankan bagi tenaga kesehatan untuk meningkatkan skrining dan monitoring prostat pada pria berusia di atas 50 tahun dengan komorbiditas
UM PalembangUM Palembang Ditemukan bahwa Big Money (dana besar) meningkatkan likuiditas dan memperbesar volume perdagangan, tetapi juga memicu volatilitas harga saham yang bisaDitemukan bahwa Big Money (dana besar) meningkatkan likuiditas dan memperbesar volume perdagangan, tetapi juga memicu volatilitas harga saham yang bisa
MALAHAYATIMALAHAYATI Pada tahun 2019 22,4%, tahun 2020 (16,7%), tahun 2021 (14,1%), tahun 2022 (17,9%) dan 2023 (15,3%). Tujuan Penelitian untuk mengetahui apa Saja DeterminanPada tahun 2019 22,4%, tahun 2020 (16,7%), tahun 2021 (14,1%), tahun 2022 (17,9%) dan 2023 (15,3%). Tujuan Penelitian untuk mengetahui apa Saja Determinan
IAESCOREIAESCORE Results show a 27.58% reduction in water use, 58.82% decrease in fertilizer consumption, and a 47. 5% increase in tomato yield. Additionally, statisticalResults show a 27.58% reduction in water use, 58.82% decrease in fertilizer consumption, and a 47. 5% increase in tomato yield. Additionally, statistical
SARI MUTIARASARI MUTIARA Kesimpulan yang diperoleh dari PkM ini adalah semakin jauh jarak cahaya dengan objek maka semakin sedikit jumlah cahaya yang muncul, dan sebaliknya semakinKesimpulan yang diperoleh dari PkM ini adalah semakin jauh jarak cahaya dengan objek maka semakin sedikit jumlah cahaya yang muncul, dan sebaliknya semakin
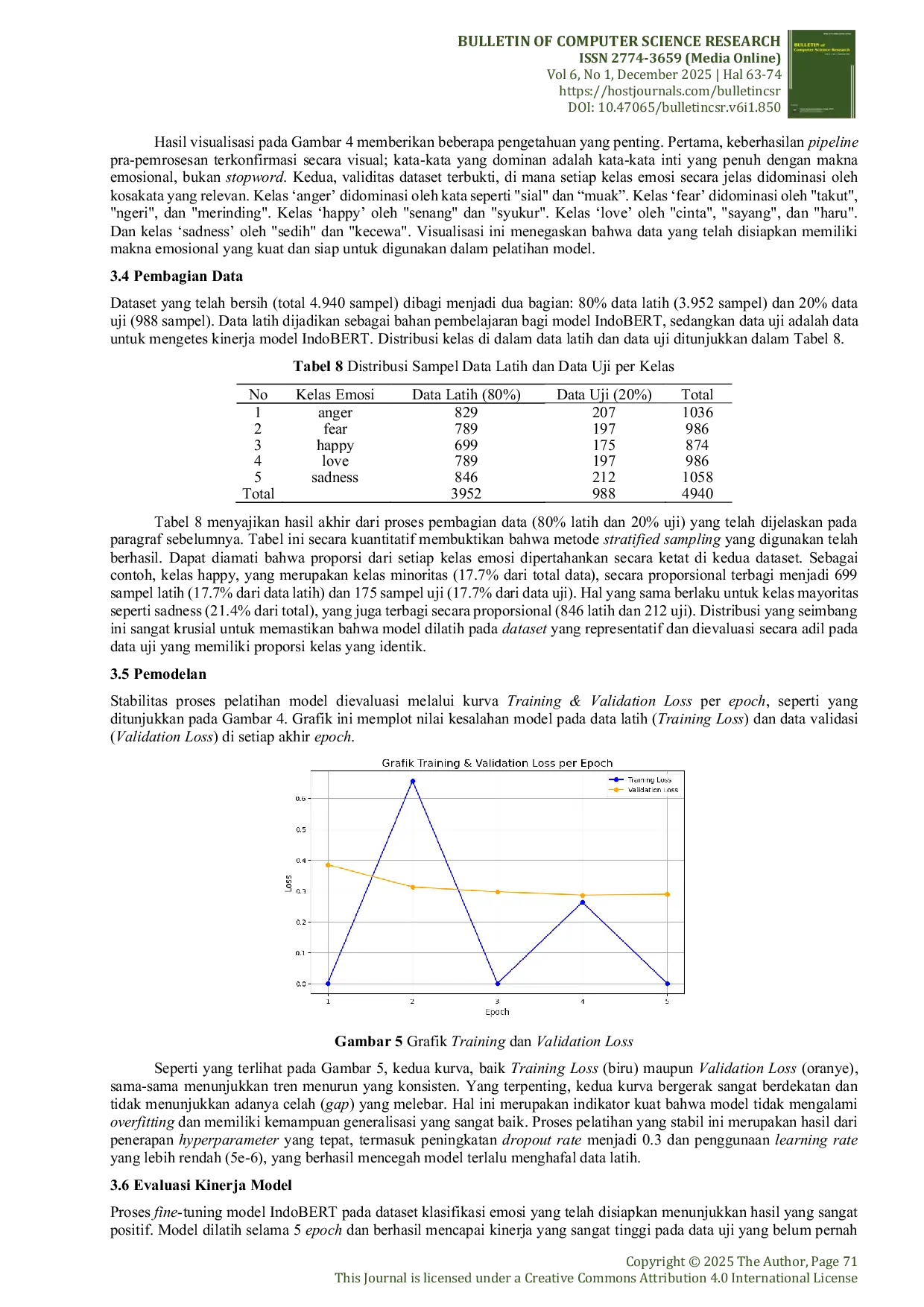
HOSTJOURNALSHOSTJOURNALS Dengan membangun sebuah dataset kustom yang seimbang melalui scraping bertarget dan menerapkan proses pelabelan yang tervalidasi secara statistik, modelDengan membangun sebuah dataset kustom yang seimbang melalui scraping bertarget dan menerapkan proses pelabelan yang tervalidasi secara statistik, model
UNNESUNNES Kegiatan menulis cerita rakyat memberikan manfaat dalam meningkatkan keterampilan menulis dan pemahaman terhadap nilai-nilai budaya lokal, meskipun pengalamanKegiatan menulis cerita rakyat memberikan manfaat dalam meningkatkan keterampilan menulis dan pemahaman terhadap nilai-nilai budaya lokal, meskipun pengalaman
APPIHIAPPIHI MoU dalam hukum perdata Indonesia memiliki kedudukan sebagai perjanjian pendahuluan yang mengikat secara hukum, bukan sekadar kesepakatan moral, asalkanMoU dalam hukum perdata Indonesia memiliki kedudukan sebagai perjanjian pendahuluan yang mengikat secara hukum, bukan sekadar kesepakatan moral, asalkan
Latest /
USUUSU Dapat disimpulkan bahwa penerapan subtitle film berbahasa Inggris untuk memperkaya kosakata siswa efektif berdasarkan hasil penelitian. Penerapan pembelajaranDapat disimpulkan bahwa penerapan subtitle film berbahasa Inggris untuk memperkaya kosakata siswa efektif berdasarkan hasil penelitian. Penerapan pembelajaran
IFRELRESEARCHIFRELRESEARCH Penelitian ini bertujuan untuk mengetahui. Penelitian ini merupakan penelitian empiris karena menempatkan data primer yang ada di lingkungan masyarakatPenelitian ini bertujuan untuk mengetahui. Penelitian ini merupakan penelitian empiris karena menempatkan data primer yang ada di lingkungan masyarakat
USUUSU W. ) that foregrounds the methodology of research for the thesis Orientalism From Within: A Critical Study Of Pandering And Catering To The West In ThreeW. ) that foregrounds the methodology of research for the thesis Orientalism From Within: A Critical Study Of Pandering And Catering To The West In Three
UNDIRAUNDIRA So, business people dont need to ask potential buyers to install WhatsApp just as a means of communication. WhatsApp Business is an application speciallySo, business people dont need to ask potential buyers to install WhatsApp just as a means of communication. WhatsApp Business is an application specially