PUSKOMCERIAPUSKOMCERIA
Pena: Jurnal Ilmu Pengetahuan dan TeknologiPena: Jurnal Ilmu Pengetahuan dan TeknologiPenelitian ini bertujuan untuk mengidentifikasi perbedaan penguasaan kalimat efektif antara mahasiswa yang memperoleh pembelajaran menggunakan Game Android Bahasa Indonesia (GABI) dengan mahasiswa yang menggunakan media konvensional, serta mengevaluasi efektivitas GABI. Metode yang digunakan adalah penelitian kuasi‑eksperimental dengan desain pre‑test post‑test control group. Sampel dipilih melalui cluster random sampling, dengan kelas kontrol menggunakan media PowerPoint dan kelas eksperimen menggunakan GABI. Instrumen penelitian menunjukkan validitas konstruk dan reliabilitas yang memadai. Analisis data menunjukkan bahwa distribusi skor pre‑test dan post‑test normal serta homogen. Hasil uji t menunjukkan perbedaan signifikan (t = 3,17, p = 0,002) antara kelompok eksperimen dan kontrol, serta peningkatan rata‑rata skor yang lebih besar pada kelompok eksperimen (t = 4,40, p < 0,001) dengan kenaikan sebesar 4,03 dibandingkan 0,81 pada kontrol. Temuan ini mengindikasikan bahwa GABI lebih efektif dibandingkan media PowerPoint tradisional dalam meningkatkan penguasaan kalimat efektif.
Penelitian ini menunjukkan bahwa penggunaan GABI secara signifikan meningkatkan penguasaan kalimat efektif mahasiswa dibandingkan dengan penggunaan media PowerPoint tradisional.Selain itu, peningkatan rata‑rata skor post‑test pada kelompok eksperimen lebih tinggi (4,03) dibandingkan kelompok kontrol (0,81), menandakan efektivitas GABI yang lebih besar.Dengan demikian, GABI dapat dipertimbangkan sebagai alternatif media pembelajaran yang lebih efektif dalam mata kuliah Bahasa Indonesia di tingkat universitas.
Penelitian selanjutnya dapat menyelidiki sejauh mana retensi jangka panjang kemampuan kalimat efektif mahasiswa setelah penggunaan GABI dibandingkan dengan media konvensional, dengan mengumpulkan data follow‑up beberapa bulan pasca intervensi. Selain itu, diperlukan kajian tentang adaptasi GABI untuk mengembangkan kompetensi linguistik lain, seperti penulisan argumentatif atau analisis wacana, guna mengevaluasi fleksibilitas media dalam meningkatkan berbagai aspek keterampilan menulis. Selanjutnya, penting untuk mengintegrasikan mekanisme umpan balik adaptif berbasis data dalam GABI, sehingga dapat menyesuaikan tingkat kesulitan secara dinamis dan menilai dampaknya terhadap motivasi serta prestasi akademik mahasiswa di berbagai program studi dan institusi pendidikan tinggi.
| File size | 39.86 KB |
| Pages | 6 |
| DMCA | ReportReport |
Related /
OJSOJS Program-program sosial seperti makanan bergizi gratis menunjukkan pentingnya keterlibatan bersama antara pemerintah dan warga untuk memenuhi hak dasarProgram-program sosial seperti makanan bergizi gratis menunjukkan pentingnya keterlibatan bersama antara pemerintah dan warga untuk memenuhi hak dasar
OJSOJS Pendekatan ini mengaitkan konsep matematika dengan masalah yang relevan dalam kehidupan sehari-hari siswa, sehingga meningkatkan pemahaman dan keterlibatanPendekatan ini mengaitkan konsep matematika dengan masalah yang relevan dalam kehidupan sehari-hari siswa, sehingga meningkatkan pemahaman dan keterlibatan
OJSOJS Meskipun materi pembelajaran digital menawarkan keuntungan yang signifikan, buku tradisional masih memegang peranan penting. Mengembangkan literasi digitalMeskipun materi pembelajaran digital menawarkan keuntungan yang signifikan, buku tradisional masih memegang peranan penting. Mengembangkan literasi digital
OJSOJS Dari pencarian tersebut, ditemukan sebanyak 58 artikel yang sesuai dengan kata kunci. Setelah dilakukan penyaringan berdasarkan kriteria inklusi dan eksklusiDari pencarian tersebut, ditemukan sebanyak 58 artikel yang sesuai dengan kata kunci. Setelah dilakukan penyaringan berdasarkan kriteria inklusi dan eksklusi
Useful /
KJPUPIKJPUPI Penelitian ini mempelajari pengaruh kompaksi tanah terhadap penyakit heart rot dengan membandingkan sampel tanah dari tanaman yang terinfeksi dan tidakPenelitian ini mempelajari pengaruh kompaksi tanah terhadap penyakit heart rot dengan membandingkan sampel tanah dari tanaman yang terinfeksi dan tidak
KJPUPIKJPUPI Pembahasan mengenai membran MBR dan kaitan antara sifat membran dengan kinerja MBR juga disajikan. Ulasan ini juga mencakup salah satu teknologi MBR palingPembahasan mengenai membran MBR dan kaitan antara sifat membran dengan kinerja MBR juga disajikan. Ulasan ini juga mencakup salah satu teknologi MBR paling
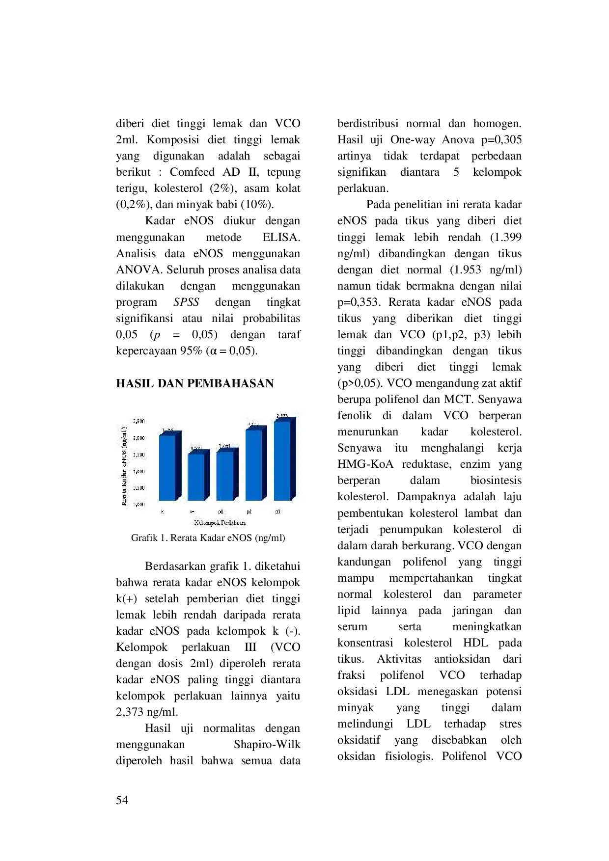
PUSKOMCERIAPUSKOMCERIA Rerata kadar eNOS lebih tinggi pada kelompok perlakuan dibandingkan kelompok kontrol positif, tetapi berdasarkan hasil uji ANOVA menunjukkan tidak adaRerata kadar eNOS lebih tinggi pada kelompok perlakuan dibandingkan kelompok kontrol positif, tetapi berdasarkan hasil uji ANOVA menunjukkan tidak ada
PUSKOMCERIAPUSKOMCERIA Strategi ini dapat dimanfaatkan untuk membangun kelas yang aktif dan menarik. Siswa lebih menikmati dan tertarik dalam pembelajaran, serta lebih aktifStrategi ini dapat dimanfaatkan untuk membangun kelas yang aktif dan menarik. Siswa lebih menikmati dan tertarik dalam pembelajaran, serta lebih aktif