Jurnal Abdi Masyarakat (JAM) Files
UMBUMB Workshop untuk Permai business actors di Penang, Malaysia, mengenai penataan produk Batik Iket Celup. Tujuan workshop ini adalah untuk mendukung inisiatifWorkshop untuk Permai business actors di Penang, Malaysia, mengenai penataan produk Batik Iket Celup. Tujuan workshop ini adalah untuk mendukung inisiatif
UMBUMB Hasil dari program ini yaitu peserta mengetahui informasi mengenai bagaimana memilih dan memanfaatkan aplikasi yang terdapat dalam smartphone secara bijak,Hasil dari program ini yaitu peserta mengetahui informasi mengenai bagaimana memilih dan memanfaatkan aplikasi yang terdapat dalam smartphone secara bijak,
UMBUMB Pelatihan yang diselenggarakan oleh Desa Bojong Nangka telah membantu meningkatkan literasi, keterampilan praktis, dan partisipasi masyarakat dalam pemanfaatanPelatihan yang diselenggarakan oleh Desa Bojong Nangka telah membantu meningkatkan literasi, keterampilan praktis, dan partisipasi masyarakat dalam pemanfaatan
UMBUMB The results showed an increase in self-confidence, skills in producing creative products, and the ability to market products digitally. Participants wereThe results showed an increase in self-confidence, skills in producing creative products, and the ability to market products digitally. Participants were
UMBUMB This activity has a positive impact, especially for the South Meruya Mitra community group for the implementation of hydroponic vertical gardens whileThis activity has a positive impact, especially for the South Meruya Mitra community group for the implementation of hydroponic vertical gardens while
UMBUMB The community service program in Meruya Selatan, focusing on catfish floss processing, has positively impacted the target community. Participants gainedThe community service program in Meruya Selatan, focusing on catfish floss processing, has positively impacted the target community. Participants gained
UMBUMB The Solar Literacy Read-Charge program aims to increase public interest in reading and literacy, offering free and convenient access to diverse readingThe Solar Literacy Read-Charge program aims to increase public interest in reading and literacy, offering free and convenient access to diverse reading
Useful /
UMAHAUMAHA The method involves a thematic analysis of existing literature, integrating economic theories such as core-periphery models with empirical case studiesThe method involves a thematic analysis of existing literature, integrating economic theories such as core-periphery models with empirical case studies
UMRAHUMRAH This study integrates remote sensing and geospatial analysis to estimate blue carbon stocks in the mangrove ecosystems of Dompak Island, Tanjungpinang,This study integrates remote sensing and geospatial analysis to estimate blue carbon stocks in the mangrove ecosystems of Dompak Island, Tanjungpinang,
UNMUHUNMUH Penelitian ini menggunakan metode penelitian studi kasus. Instrumen yang digunakan dalam penelitian ini terdiri dari observasi, wawancara, dan angket.Penelitian ini menggunakan metode penelitian studi kasus. Instrumen yang digunakan dalam penelitian ini terdiri dari observasi, wawancara, dan angket.
UNMUHUNMUH Kekurangannya adalah pandangan negatif tentang sifat bawaan yang sulit diubah dan keterlibatan teori ini secara tidak sadar dalam pembelajaran Bahasa Indonesia,Kekurangannya adalah pandangan negatif tentang sifat bawaan yang sulit diubah dan keterlibatan teori ini secara tidak sadar dalam pembelajaran Bahasa Indonesia,
Related /
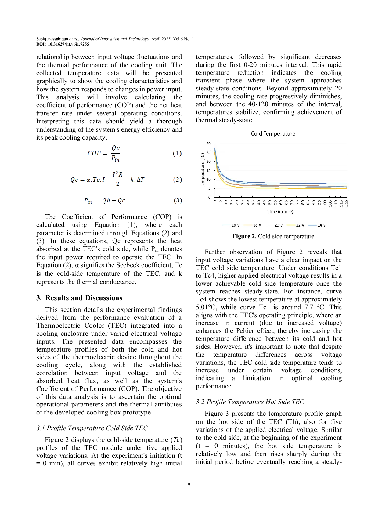
UMRAHUMRAH In conclusion, an optimal input voltage of 22 V was identified to yield the most efficient cooling performance. These findings support the applicabilityIn conclusion, an optimal input voltage of 22 V was identified to yield the most efficient cooling performance. These findings support the applicability
UMRAHUMRAH Sinkronisasi kontak dalam kondisi terbuka tidak mengalami variasi signifikan, namun dalam kondisi tertutup, semua fase menunjukkan penurunan signifikanSinkronisasi kontak dalam kondisi terbuka tidak mengalami variasi signifikan, namun dalam kondisi tertutup, semua fase menunjukkan penurunan signifikan
UNMUHUNMUH Hasil yang didapatkan adalah siswa autis mengembangkan kerumitan kalimat dengan menggunakan inti leksikal verba dengan pola tanpa komplemen, inti leksikalHasil yang didapatkan adalah siswa autis mengembangkan kerumitan kalimat dengan menggunakan inti leksikal verba dengan pola tanpa komplemen, inti leksikal
UNMUHUNMUH Nilai-nilai ini dapat dimanfaatkan sebagai bahan ajar pendidikan karakter melalui cerita narasi berjudul “Kyai Hasan Mukmin, Pahlawan dari Sidoarjo untukNilai-nilai ini dapat dimanfaatkan sebagai bahan ajar pendidikan karakter melalui cerita narasi berjudul “Kyai Hasan Mukmin, Pahlawan dari Sidoarjo untuk
Latest /
UNIPAUNIPA Penelitian menggunakan pendekatan kualitatif fenomenologis dengan wawancara terstruktur dan analisis tematik dengan langkah-langkah reduksi data yang bertujuanPenelitian menggunakan pendekatan kualitatif fenomenologis dengan wawancara terstruktur dan analisis tematik dengan langkah-langkah reduksi data yang bertujuan
LMULMU Hasil dari penilaian ini adalah kondisi cuaca sangat mempengaruhi parameter lingkungan seperti radiasi energi surya dan suhu lingkungan untuk pendinginanHasil dari penilaian ini adalah kondisi cuaca sangat mempengaruhi parameter lingkungan seperti radiasi energi surya dan suhu lingkungan untuk pendinginan
LAMINTANGLAMINTANG Tertiary Education Trust Fund (TETfund) di Nigeria adalah sumber daya vital untuk pendidikan tingkat ketiga, yang menyediakan penelitian, publikasi, bahanTertiary Education Trust Fund (TETfund) di Nigeria adalah sumber daya vital untuk pendidikan tingkat ketiga, yang menyediakan penelitian, publikasi, bahan
UNPATTIUNPATTI Teripang Pasir (Holothuria scabra) merupakan salah satu komoditas ekspor dari sektor perikanan yang sudah menurun produksi dan pelestarian sumber daya.Teripang Pasir (Holothuria scabra) merupakan salah satu komoditas ekspor dari sektor perikanan yang sudah menurun produksi dan pelestarian sumber daya.