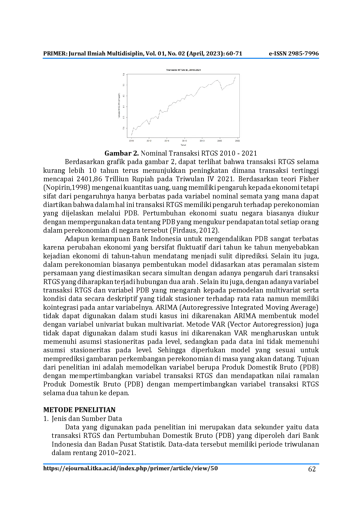
POLTEKKES PALEMBANGPOLTEKKES PALEMBANG
JPP (Jurnal Kesehatan Poltekkes Palembang)JPP (Jurnal Kesehatan Poltekkes Palembang)Latar Belakang: Teknik marmet adalah cara memerah ASI secara manual dan mengutamakan let down refleks (LDR). Rangsangan let down refleks diawal proses memerah dapat menghasilkan ASI sebanyak 2-3 kali lipat dibanding tanpa menggunakan teknik ini. Pengeluaran hormon prolaktin diharapkan akan merangsang mammary alveoli untuk memproduksi ASI. Metode: Penelitian ini merupakan jenis penelitian quasi eksperimen dengan rancangan yang digunakan adalah One Group Pretest-Posttest. Hasil: Didapatkan bahwa dari 30 responden, sebelum dan sesudah teknik marmet, responden dengan kelancaran pengeluaran ASI kurang, menurun dari 19(63,3%) menjadi 6 orang (20%) sedangkan pengeluaran ASI cukup meningkat sebelum dan sesudah teknik marmet yaitu dari 11 orang (36,7%) menjadi 15 orang (50%) dan untuk pengeluaran ASI banyak meningkat dari 0 orang menjadi 9 orang (30 %). Kesimpulan: Bahwa ada perbedaan tingkat kelancaran pengeluaran ASI sebelum dan sesudah dilakukan teknik marmet pada ibu post partum.
Teknik marmet berpengaruh signifikan terhadap kelancaran pengeluaran ASI pada ibu post partum.Terdapat peningkatan jumlah responden dengan pengeluaran ASI cukup dan banyak setelah penerapan teknik marmet.Penelitian ini mendukung penggunaan teknik marmet sebagai intervensi untuk meningkatkan produksi ASI.
Penelitian lanjutan dapat dilakukan dengan membandingkan efektivitas teknik marmet dengan metode lain seperti pijat oksitosin atau penggunaan pompa ASI elektrik. Perlu juga dikaji pengaruh kombinasi teknik marmet dengan faktor pendukung seperti nutrisi dan istirahat terhadap produksi ASI. Selain itu, penelitian dapat diperluas dengan melibatkan sampel yang lebih besar dan beragam latar belakang untuk meningkatkan validitas hasil.
| File size | 212.89 KB |
| Pages | 5 |
| Short Link | https://juris.id/p-194 |
| Lookup Links | Google ScholarGoogle Scholar, Semantic ScholarSemantic Scholar, CORE.ac.ukCORE.ac.uk, WorldcatWorldcat, ZenodoZenodo, Research GateResearch Gate, Academia.eduAcademia.edu, OpenAlexOpenAlex, Hollis HarvardHollis Harvard |
| DMCA | Report |
Related /
AKSARAGLOBALAKSARAGLOBAL Hasil dari penelitian ini diketahui nilai signifikansi (Sign. ) sebesar 0. 001 yang artinya kurang dari dari 0,05. Penggunaan media pembelajaran QuizzizHasil dari penelitian ini diketahui nilai signifikansi (Sign. ) sebesar 0. 001 yang artinya kurang dari dari 0,05. Penggunaan media pembelajaran Quizziz
E JOURNALLPPMUNSAE JOURNALLPPMUNSA Data dikumpulkan dengan kuesioner dan lembar observasi. Analisa data menggunakan SPSS. Hasil: Terdapat pengaruh yang signifikan antara keterampilan danData dikumpulkan dengan kuesioner dan lembar observasi. Analisa data menggunakan SPSS. Hasil: Terdapat pengaruh yang signifikan antara keterampilan dan
ITKAITKA Kurt Lewin menawarkan pendekatan klasik tiga langkah: unfreezing, movement, dan refreezing. Manajemen perubahan organisasi pendidikan sukses jika mengikutiKurt Lewin menawarkan pendekatan klasik tiga langkah: unfreezing, movement, dan refreezing. Manajemen perubahan organisasi pendidikan sukses jika mengikuti
STIKES MAJAPAHITSTIKES MAJAPAHIT Kebijakan belajar, bekerja, dan beribadah di rumah perlu diperkuat untuk mengurangi penyebaran Covid-19, karena tingginya penularan virus ini meningkatkanKebijakan belajar, bekerja, dan beribadah di rumah perlu diperkuat untuk mengurangi penyebaran Covid-19, karena tingginya penularan virus ini meningkatkan
MAHARDIKAMAHARDIKA Hasil uji Wilcoxon menunjukkan nilai p = 0,042 (p < 0,05), yang mengindikasikan efek signifikan kapur tohor dalam menurunkan kadar besi (Fe). Kesimpulan:Hasil uji Wilcoxon menunjukkan nilai p = 0,042 (p < 0,05), yang mengindikasikan efek signifikan kapur tohor dalam menurunkan kadar besi (Fe). Kesimpulan:
INTELEKTUALINTELEKTUAL Hasil penelitian menunjukkan bahwa penggunaan e-modul interaktif dapat mengurangi kesalahpahaman siswa sebesar 16,21%. Penggunaan e-modul interaktif menggunakanHasil penelitian menunjukkan bahwa penggunaan e-modul interaktif dapat mengurangi kesalahpahaman siswa sebesar 16,21%. Penggunaan e-modul interaktif menggunakan
CERICCERIC Mayoritas bayi prematur akan mengalami perawatan yang lama di ruang intensif, sehingga terpapar sejumlah prosedur menyakitkan berulang yang menimbulkanMayoritas bayi prematur akan mengalami perawatan yang lama di ruang intensif, sehingga terpapar sejumlah prosedur menyakitkan berulang yang menimbulkan
CERICCERIC Tenaga kesehatan disarankan mengembangkan PMK untuk peningkatan status kesehatan ibu, juga tumbuh kembang bayi yang optimal. Perawatan metode kanguru yangTenaga kesehatan disarankan mengembangkan PMK untuk peningkatan status kesehatan ibu, juga tumbuh kembang bayi yang optimal. Perawatan metode kanguru yang
Useful /
UMJAMBIUMJAMBI Data kuesioner dianalisis secara kuantitatif dengan menggunakan analisis dekriptif untuk mengetahui berapa besar persentase pilihan jawban dari setiapData kuesioner dianalisis secara kuantitatif dengan menggunakan analisis dekriptif untuk mengetahui berapa besar persentase pilihan jawban dari setiap
UMJAMBIUMJAMBI Metode yang digunakan dalam penelitian ini adalah Revealed Comparative Advantage (RCA). Analisis ini merupakan salah satu metode yang digunakan untuk mengukurMetode yang digunakan dalam penelitian ini adalah Revealed Comparative Advantage (RCA). Analisis ini merupakan salah satu metode yang digunakan untuk mengukur
CERICCERIC Desain penelitian ini adalah descriptive corelative dengan pendekatan cross sectional, sampel 92 responden yang dipilih menggunakan teknik consecutiveDesain penelitian ini adalah descriptive corelative dengan pendekatan cross sectional, sampel 92 responden yang dipilih menggunakan teknik consecutive
INABJINABJ Pada kelompok usia ini, penyakit kardiovaskular merupakan penyebab kematian yang utama, dan biaya pengobatannya juga akan terus meningkat. Penuaan merupakanPada kelompok usia ini, penyakit kardiovaskular merupakan penyebab kematian yang utama, dan biaya pengobatannya juga akan terus meningkat. Penuaan merupakan