POLITEKNIK KEBUMENPOLITEKNIK KEBUMEN
Jurnal E-BisJurnal E-BisPengangguran terdidik masih menjadi persoalan seriusan di Indonesia, terutama di Pulau Jawa. Tingginya tingkat pengangguran terdidik di Pulau Jawa menunjukkan adanya ketidakseimbangan antara peningkatan jumlah lulusan pendidikan menengah dan tinggi dengan kapasitas penyerapan tenaga kerja. Menurut teori Schultz, pendidikan tinggi semestinya meningkatkan produktivitas dan peluang kerja, namun kenyataannya tidak demikian. Kondisi ini menjadi tantangan serius dalam merealisasikan SDG ke-8. Penelitian ini bertujuan untuk menganalisis perkembangan pengangguran terdidik di Pulau Jawa dan menganalisis faktor-faktor ekonomi yang memengaruhi tingkat pengangguran terdidik dalam mendukung pencapaian SDG ke-8. Penelitian ini menggunakan pendekatan kuantitatif dengan data sekunder, dengan metode yang digunakan adalah regresi data panel. Hasil penelitian menunjukkan bahwa inflasi, kesempatan kerja, upah minimum regional, dan pertumbuhan ekonomi memengaruhi 73% pengangguran terdidik di Pulau Jawa selama pengamatan dan keempat variabel berpengaruh signifikan.
Berdasarkan hasil penelitian, inflasi, kesempatan kerja, upah minimum regional, dan pertumbuhan ekonomi secara simultan berpengaruh signifikan terhadap pengangguran terdidik di Pulau Jawa periode 2014‑2024, dan masing‑masing faktor tersebut memiliki dampak parsial yang penting.Keberhasilan pencapaian SDG‑8 tidak dapat dicapai hanya dengan pertumbuhan ekonomi, melainkan memerlukan penciptaan lapangan kerja berkualitas, penyesuaian sistem pendidikan dengan kebutuhan pasar, pengendalian inflasi, serta penetapan upah minimum yang adil.Penelitian ini terbatas pada variabel ekonomi dan rentang waktu tertentu.penelitian lanjutan sebaiknya menambahkan faktor sosial, politik, teknologi, kualitas pendidikan, serta menggunakan metodologi kualitatif atau mixed‑method untuk gambaran yang lebih komprehensif.
Penelitian selanjutnya dapat menguji pengaruh faktor non‑ekonomi seperti kondisi sosial, kebijakan politik, dan perkembangan teknologi terhadap tingkat pengangguran terdidik di Pulau Jawa dengan pendekatan campuran kuantitatif‑kualitatif, sehingga dapat memperoleh pemahaman yang lebih holistik tentang interaksi antara dinamika ekonomi dan lingkungan institusional. Selain itu, diperlukan studi longitudinal yang menelaah secara detail kualitas pendidikan serta kesesuaian keterampilan lulusan dengan kebutuhan pasar kerja, termasuk efektivitas program vokasi, pelatihan up‑skilling, dan sertifikasi kompetensi, untuk mengidentifikasi penyebab utama mismatch skill di tiap provinsi. Selanjutnya, evaluasi kebijakan spesifik seperti platform digital pencocokan kerja, penyesuaian upah minimum regional, atau program kerja sama antara pemerintah, industri, dan lembaga pendidikan dapat dilakukan melalui desain eksperimental atau quasi‑eksperimental, yang memungkinkan pengukuran dampak langsung pada penurunan pengangguran terdidik. Penelitian tersebut juga sebaiknya memperhitungkan variasi geografis dan sektor ekonomi sehingga hasilnya dapat diadaptasi secara lokal. Dengan mengintegrasikan temuan dari ketiga arah studi ini, kebijakan publik dapat dirancang lebih tepat sasaran untuk mendukung pencapaian SDG‑8 di Indonesia.
- Analisis Tingkat Pengangguran dan Faktor-Faktor yang Mempengaruhinya di Kabupaten Kotawaringin Barat... jurnal.politeknik-kebumen.ac.id/E-Bis/article/view/852Analisis Tingkat Pengangguran dan Faktor Faktor yang Mempengaruhinya di Kabupaten Kotawaringin Barat jurnal politeknik kebumen ac E Bis article view 852
- Dampak Faktor-Faktor Ekonomi Terhadap Pengangguran Terdidik | Jurnal E-Bis. faktor ekonomi pengangguran... jurnal.politeknik-kebumen.ac.id/E-Bis/article/view/2707Dampak Faktor Faktor Ekonomi Terhadap Pengangguran Terdidik Jurnal E Bis faktor ekonomi pengangguran jurnal politeknik kebumen ac E Bis article view 2707
- Sektor informal: peninjauan kembali dalam perspektif konseptual | Khairi | Region : Jurnal Pembangunan... jurnal.uns.ac.id/region/article/view/47072Sektor informal peninjauan kembali dalam perspektif konseptual Khairi Region Jurnal Pembangunan jurnal uns ac region article view 47072
- Structural Transformation of The West Java Economy and Its Agriculture - IOPscience. structural west... iopscience.iop.org/article/10.1088/1755-1315/466/1/012005Structural Transformation of The West Java Economy and Its Agriculture IOPscience structural west iopscience iop article 10 1088 1755 1315 466 1 012005
| File size | 532.66 KB |
| Pages | 20 |
| DMCA | Report |
Related /
POLITEKNIK KEBUMENPOLITEKNIK KEBUMEN Konsumen lebih memilih merek dengan reputasi baik, produk dengan kinerja optimal dan fitur relevan, serta promosi yang menarik, meskipun beberapa indikatorKonsumen lebih memilih merek dengan reputasi baik, produk dengan kinerja optimal dan fitur relevan, serta promosi yang menarik, meskipun beberapa indikator
POLITEKNIK KEBUMENPOLITEKNIK KEBUMEN 26 sebagai alat analisis, melibatkan 96 partisipan yang dipilih melalui non‑probability sampling. Temuan konklusif menunjukkan bahwa fanatisme, kualitas26 sebagai alat analisis, melibatkan 96 partisipan yang dipilih melalui non‑probability sampling. Temuan konklusif menunjukkan bahwa fanatisme, kualitas
POLITEKNIK KEBUMENPOLITEKNIK KEBUMEN Penelitian ini menemukan bahwa harga dan promosi, baik secara individual maupun bersamaan, secara signifikan memengaruhi keputusan pembelian tas ranselPenelitian ini menemukan bahwa harga dan promosi, baik secara individual maupun bersamaan, secara signifikan memengaruhi keputusan pembelian tas ransel
POLITEKNIK KEBUMENPOLITEKNIK KEBUMEN Dalam bisnis transportasi, mempertahankan eksistensi memerlukan kesiapan yang matang, terutama karena kualitas pelayanan menjadi faktor utama, mengingatDalam bisnis transportasi, mempertahankan eksistensi memerlukan kesiapan yang matang, terutama karena kualitas pelayanan menjadi faktor utama, mengingat
UNISKA BJMUNISKA BJM Metode kualitatif melibatkan pengumpulan, pengelolaan, dan analisis data melalui wawancara, observasi lingkungan, serta interpretasi fenomena yang terjadiMetode kualitatif melibatkan pengumpulan, pengelolaan, dan analisis data melalui wawancara, observasi lingkungan, serta interpretasi fenomena yang terjadi
USAHIDUSAHID Penelitian ini bertujuan untuk menganalisis upaya konservasi elang jawa sebagai sarana wisata edukasi di Kamojang Garut Jawa Barat sebagai salah satu hewanPenelitian ini bertujuan untuk menganalisis upaya konservasi elang jawa sebagai sarana wisata edukasi di Kamojang Garut Jawa Barat sebagai salah satu hewan
APTKLHIAPTKLHI Kawasan karst merupakan kawasan yang sangat sensitif terhadap perubahan parameter iklim, salah satunya adalah pada variabilitas curah hujan. VariabilitasKawasan karst merupakan kawasan yang sangat sensitif terhadap perubahan parameter iklim, salah satunya adalah pada variabilitas curah hujan. Variabilitas
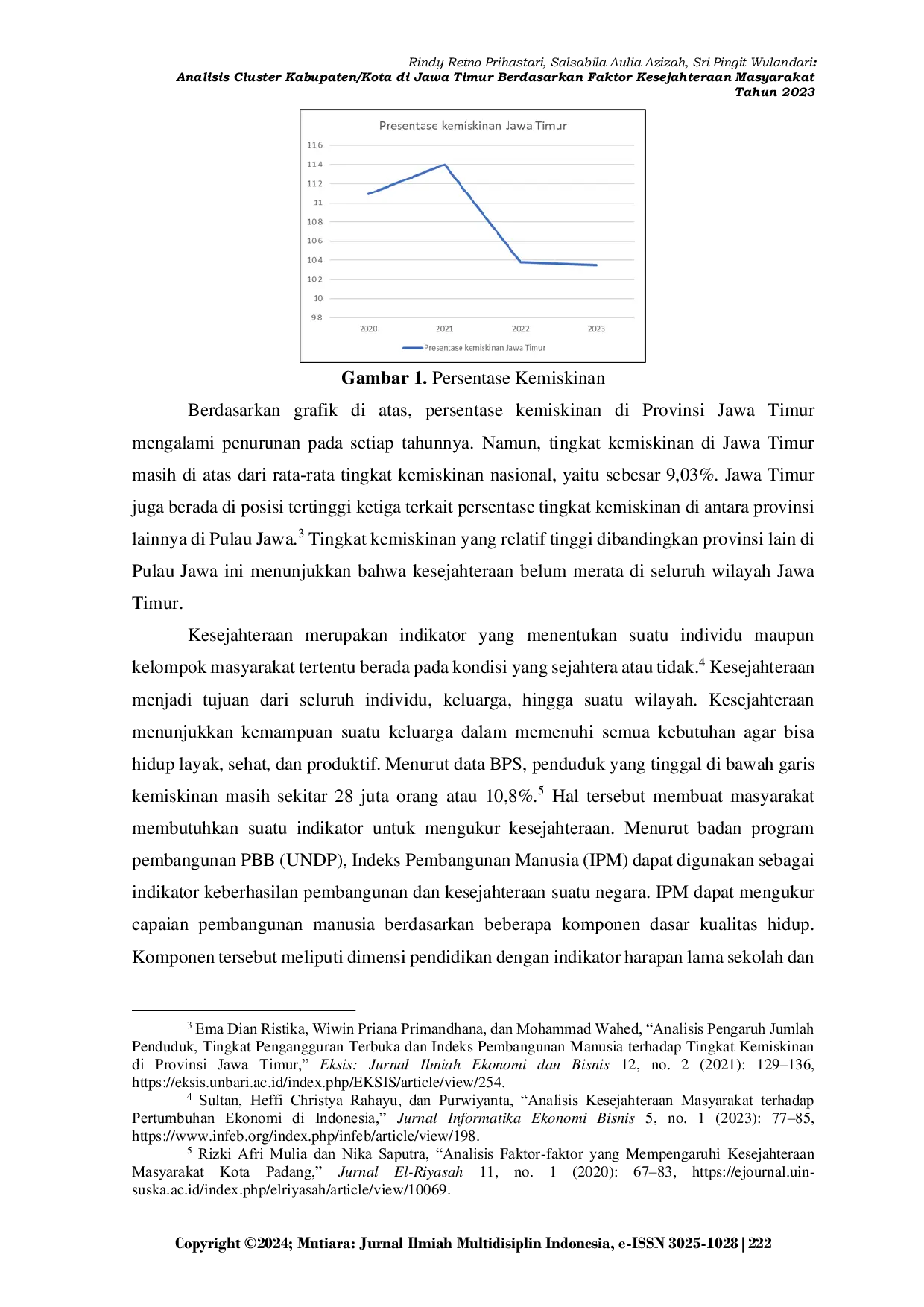
TIGA MUTIARATIGA MUTIARA Namun, di balik pertumbuhan ekonominya yang pesat, Jawa Timur masih menghadapi tantangan kesejahteraan, terutama dalam hal kemiskinan yang masih relatifNamun, di balik pertumbuhan ekonominya yang pesat, Jawa Timur masih menghadapi tantangan kesejahteraan, terutama dalam hal kemiskinan yang masih relatif
Useful /
POLITEKNIK KEBUMENPOLITEKNIK KEBUMEN Penelitian menggunakan metode kuantitatif dengan populasi 96 konsumen Azzarine di Sidoarjo dan teknik sampling probability. Data dianalisis menggunakanPenelitian menggunakan metode kuantitatif dengan populasi 96 konsumen Azzarine di Sidoarjo dan teknik sampling probability. Data dianalisis menggunakan
POLITEKNIK KEBUMENPOLITEKNIK KEBUMEN Riset ini bertujuan untuk menganalisis dampak E-WOM dan kualitas pelayanan terhadap loyalitas konsumen pada UMKM Martabak Mitra di Kabupaten Garut. MetodeRiset ini bertujuan untuk menganalisis dampak E-WOM dan kualitas pelayanan terhadap loyalitas konsumen pada UMKM Martabak Mitra di Kabupaten Garut. Metode
POLITEKNIK KEBUMENPOLITEKNIK KEBUMEN Tujuan penelitian berguna mengkaji pengaruh Brand Image, Social Media Marketing, dan Perceived Quality terhadap keputusan pembelian Parfume HMNS di Sidoarjo.Tujuan penelitian berguna mengkaji pengaruh Brand Image, Social Media Marketing, dan Perceived Quality terhadap keputusan pembelian Parfume HMNS di Sidoarjo.
USAHIDUSAHID Metode penelitian ini menggunakan pendekatan kualitatif dengan melakukan wawancara bersama beberapa masyarakat lokal desa girimekar dan melakukan observasiMetode penelitian ini menggunakan pendekatan kualitatif dengan melakukan wawancara bersama beberapa masyarakat lokal desa girimekar dan melakukan observasi