JURNALSYNTAXADMIRATIONJURNALSYNTAXADMIRATION
Jurnal Syntax AdmirationJurnal Syntax AdmirationPenelitian ini bertujuan untuk mengevaluasi efektivitas aplikasi ClassDojo dan peran orang tua dalam meningkatkan pemahaman siswa sekolah dasar pada pembelajaran Matematika. ClassDojo merupakan aplikasi ruang kelas yang memungkinkan guru untuk memfasilitasi pembelajaran, berkomunikasi dengan siswa dan orang tua, serta melaksanakan penilaian secara real-time. Dalam pembelajaran Matematika, aplikasi ini mendukung guru untuk memberikan materi, penjelasan, dan penilaian melalui fitur-fitur yang interaktif dan menarik, yang diharapkan dapat meningkatkan pemahaman siswa. Penelitian ini menggunakan metode eksperimen dengan desain pretest dan posttest, melibatkan kelas kontrol dan eksperimen di kelas VI SDN Sepatan I, Kecamatan Sepatan, tahun ajaran 2019/2020, dengan total 30 siswa. Hasil analisis menunjukkan bahwa ada pengaruh positif penggunaan ClassDojo terhadap pemahaman siswa, yang lebih tinggi dibandingkan metode konvensional. Berdasarkan uji t dengan tingkat signifikansi 5% dan derajat bebas (n-2), diperoleh nilai t_hitung sebesar 3,833 dan 2,2312, keduanya lebih besar dari t_tabel (1,670). Ini menunjukkan bahwa hipotesis nol (Ho) ditolak, sedangkan hipotesis alternatif (Ha) diterima. Kesimpulannya, penggunaan ClassDojo terbukti memberikan dampak positif dan meningkatkan pemahaman siswa secara signifikan dibandingkan dengan metode konvensional.
Penggunaan ClassDojo terbukti memberikan dampak positif dan meningkatkan pemahaman siswa secara signifikan dibandingkan dengan metode konvensional.Aplikasi ini dapat digunakan dengan mudah oleh guru dan siswa dalam proses pembelajaran, selain dapat diunduh secara gratis di smartphone, penggunaannya serta tampilan dari aplikasi ini sangat menarik dan dapat digunakan di kelas maupun di rumah.Aplikasi Classdojo dapat digunakan oleh guru, siswa dan orang tua pada saat bersamaan dengan pembelajaran di kelas.
Berdasarkan hasil penelitian ini, terdapat beberapa saran penelitian lanjutan yang dapat dikembangkan. Pertama, penelitian selanjutnya dapat menginvestigasi dampak penggunaan ClassDojo terhadap motivasi belajar siswa dalam jangka waktu yang lebih panjang, dengan mempertimbangkan faktor-faktor seperti gaya belajar dan latar belakang sosial ekonomi siswa. Hal ini penting untuk memahami apakah peningkatan pemahaman yang diperoleh melalui ClassDojo dapat dipertahankan dan berkontribusi pada peningkatan motivasi belajar secara berkelanjutan. Kedua, penelitian dapat difokuskan pada pengembangan modul pelatihan bagi guru dalam penggunaan ClassDojo secara optimal, dengan menekankan pada strategi integrasi aplikasi dalam berbagai model pembelajaran dan penyesuaian fitur aplikasi dengan kebutuhan siswa yang beragam. Pelatihan yang efektif dapat membantu guru memaksimalkan potensi ClassDojo dalam meningkatkan kualitas pembelajaran. Ketiga, penelitian dapat mengeksplorasi peran orang tua dalam mendukung pembelajaran siswa melalui ClassDojo, dengan mengidentifikasi faktor-faktor yang memengaruhi tingkat keterlibatan orang tua dan mengembangkan strategi untuk meningkatkan komunikasi dan kolaborasi antara guru dan orang tua. Keterlibatan orang tua yang aktif dapat menciptakan lingkungan belajar yang kondusif dan mendukung pencapaian hasil belajar siswa yang optimal. Dengan menggabungkan ketiga saran ini, diharapkan dapat memberikan kontribusi signifikan dalam meningkatkan efektivitas penggunaan teknologi dalam pembelajaran matematika dan menciptakan lingkungan belajar yang lebih inklusif dan berpusat pada siswa.
| File size | 439.08 KB |
| Pages | 16 |
| DMCA | Report |
Related /
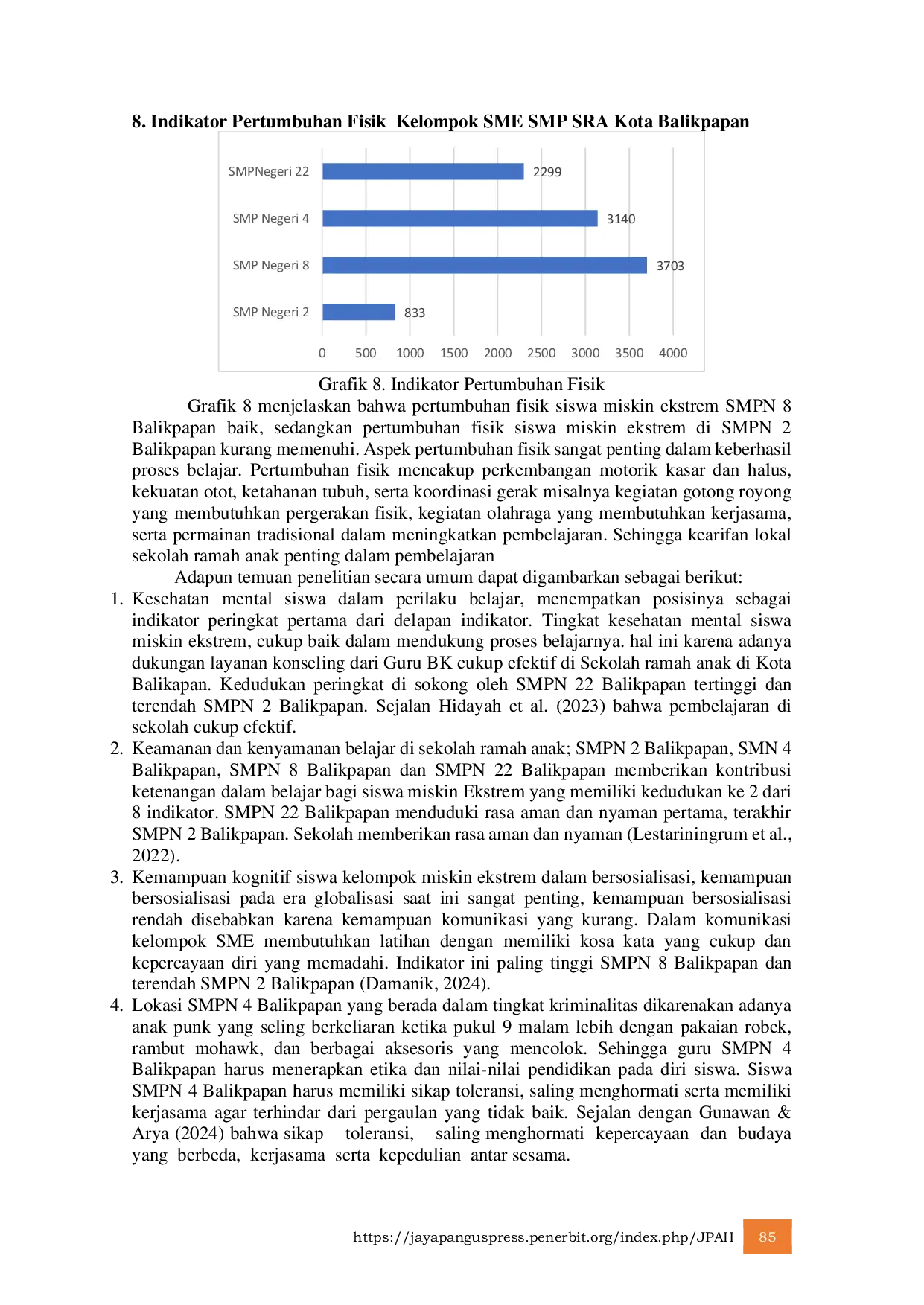
PENERBITPENERBIT Dengan hasil penelitian bahwa (1) penerapan sekolah ramah anak bagi siswa miskin ekstrem di SMPN Balikpapan terlaksana dengan baik melalui lingkungan aman,Dengan hasil penelitian bahwa (1) penerapan sekolah ramah anak bagi siswa miskin ekstrem di SMPN Balikpapan terlaksana dengan baik melalui lingkungan aman,
UIBBCUIBBC Uji t independen menghasilkan nilai signifikansi 0,000 < 0,05, mengonfirmasi perbedaan signifikan antara kelas kontrol dan eksperimen. Kesimpulan: LKPDUji t independen menghasilkan nilai signifikansi 0,000 < 0,05, mengonfirmasi perbedaan signifikan antara kelas kontrol dan eksperimen. Kesimpulan: LKPD
UIBBCUIBBC Namun, penelitian ini terbatas pada wilayah Jawa, hanya menelaah perspektif guru, serta menghadapi kendala infrastruktur, beban kurikulum, dan kurangnyaNamun, penelitian ini terbatas pada wilayah Jawa, hanya menelaah perspektif guru, serta menghadapi kendala infrastruktur, beban kurikulum, dan kurangnya
JURNALSYNTAXADMIRATIONJURNALSYNTAXADMIRATION Program sosialisasi meningkatkan pemahaman siswa tentang bahaya narkoba, dengan mayoritas memperoleh informasi baru. Sikap siswa terhadap narkoba menjadiProgram sosialisasi meningkatkan pemahaman siswa tentang bahaya narkoba, dengan mayoritas memperoleh informasi baru. Sikap siswa terhadap narkoba menjadi
JURNALSYNTAXADMIRATIONJURNALSYNTAXADMIRATION Penelitian ini bertujuan untuk menganalisis efektivitas metode bermain tepuk pada kompetensi guru, perkembangan konsentrasi belajar siswa, peningkatanPenelitian ini bertujuan untuk menganalisis efektivitas metode bermain tepuk pada kompetensi guru, perkembangan konsentrasi belajar siswa, peningkatan
JURNALSYNTAXADMIRATIONJURNALSYNTAXADMIRATION Untuk depresi, 66,8% tidak merasa hidupnya tidak berarti, dengan depresi normal sebagai yang tertinggi (50,6%). Faktor penyebab stres meliputi tugas pembelajaranUntuk depresi, 66,8% tidak merasa hidupnya tidak berarti, dengan depresi normal sebagai yang tertinggi (50,6%). Faktor penyebab stres meliputi tugas pembelajaran
JURNALSYNTAXADMIRATIONJURNALSYNTAXADMIRATION Penerapan metode ini menghasilkan peningkatan keuntungan, seperti yang terlihat pada perhitungan harga pokok penjualan Lemari Olympic sebesar Rp 191.600.000,Penerapan metode ini menghasilkan peningkatan keuntungan, seperti yang terlihat pada perhitungan harga pokok penjualan Lemari Olympic sebesar Rp 191.600.000,
UNISAPUNISAP Instrumen dalam penelitian ini yaitu peneliti sendiri namun dalam proses penelitian peneliti menggunakan alat bantu dengan pedoman wawancara, kamera, perekamInstrumen dalam penelitian ini yaitu peneliti sendiri namun dalam proses penelitian peneliti menggunakan alat bantu dengan pedoman wawancara, kamera, perekam
Useful /
PENERBITPENERBIT Mengadaptasi dan menginternalisasi konsep dalam kearifan lokal sangat penting untuk menguatkan karakter peserta didik, di tengah gempuran kenakalan remaja.Mengadaptasi dan menginternalisasi konsep dalam kearifan lokal sangat penting untuk menguatkan karakter peserta didik, di tengah gempuran kenakalan remaja.
PENERBITPENERBIT Dalam konteks pengembangan permainan edukatif, konsep ini memberikan landasan yang kaya untuk merancang pengalaman belajar yang erat kaitannya dengan nilai-nilaiDalam konteks pengembangan permainan edukatif, konsep ini memberikan landasan yang kaya untuk merancang pengalaman belajar yang erat kaitannya dengan nilai-nilai
JURNALSYNTAXADMIRATIONJURNALSYNTAXADMIRATION Penelitian ini melihat bagaimana struktur modal, pertumbuhan penjualan, dan arus kas operasi berdampak pada harga saham. Tujuan penelitian ini adalah untukPenelitian ini melihat bagaimana struktur modal, pertumbuhan penjualan, dan arus kas operasi berdampak pada harga saham. Tujuan penelitian ini adalah untuk
JURNALSYNTAXADMIRATIONJURNALSYNTAXADMIRATION Hasil uji regresi menunjukkan bahwa sikap mempunyai pengaruh cukup besar terhadap niat menggunakan AI. Berdasarkan hasil penelitian, sikap terhadap AIHasil uji regresi menunjukkan bahwa sikap mempunyai pengaruh cukup besar terhadap niat menggunakan AI. Berdasarkan hasil penelitian, sikap terhadap AI